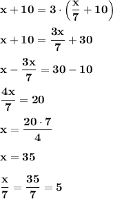
Решение.
Пусть отцу сейчас х лет.
Сын младше отца в 7 раз и ему сейчас х/7 лет .
Через 10 лет отцу станет х+10 лет , а сыну станет (х/7)+10 лет .
И тогда отец будет в 3 раза старше сына, то есть

ответ: отцу сейчас 35 лет, а сыну 5 лет .
Пошаговое объяснение:
Эта задача решается пропорцией:
Возьмем килограмм винограда за 100%. А черешня в таком же количестве за х%
Составим пропорцию:
160 = 100%
150 = х%
Пропорция решается крест-накрест, то есть
160*х = 150*100%
160х=15000
х=15000:160
х = 93,75
То есть, виноград - это 93,75% от стоимости черешни.
Вопрос был НА сколько процентов черешня дешевле.
За 100% мы брали виноград, зная, что черешня = 93,75%
1) 100-93,75 = 6,25%
На 6,25% черешня дешевле винограда.
Это был простой решения задачи.
Теперь рассмотрим тот, который ты предложил(а)
Первое число - 10, это разница в стоимости между виноградом и черешней (160-150=10 рублей).
Разницу мы умножили на 100%, чтобы выразить ее в процентах.
как известно 100% - это единица. 10*1 = 10.
Вторым действием мы узнаем процентное соотношение разницы с искомой нам ценой (то есть с искомой ценой винограда), это вычисляется делением разницы на цену, от которой нам нужно найти разницу.
10:160=0,0625. Но это число в процентах еще не выражено. Чтобы выразить число в процентах, нужно умножить его на 100%.
Итак, 0,0625*100% = 6,25%
Мы двумя решили задачу, каким будешь пользоваться ты - тебе решать)
Пошаговое объяснение:
Эта задача решается пропорцией:
Возьмем килограмм винограда за 100%. А черешня в таком же количестве за х%
Составим пропорцию:
160 = 100%
150 = х%
Пропорция решается крест-накрест, то есть
160*х = 150*100%
160х=15000
х=15000:160
х = 93,75
То есть, виноград - это 93,75% от стоимости черешни.
Вопрос был НА сколько процентов черешня дешевле.
За 100% мы брали виноград, зная, что черешня = 93,75%
1) 100-93,75 = 6,25%
На 6,25% черешня дешевле винограда.
Это был простой решения задачи.
Теперь рассмотрим тот, который ты предложил(а)
Первое число - 10, это разница в стоимости между виноградом и черешней (160-150=10 рублей).
Разницу мы умножили на 100%, чтобы выразить ее в процентах.
как известно 100% - это единица. 10*1 = 10.
Вторым действием мы узнаем процентное соотношение разницы с искомой нам ценой (то есть с искомой ценой винограда), это вычисляется делением разницы на цену, от которой нам нужно найти разницу.
10:160=0,0625. Но это число в процентах еще не выражено. Чтобы выразить число в процентах, нужно умножить его на 100%.
Итак, 0,0625*100% = 6,25%
Мы двумя решили задачу, каким будешь пользоваться ты - тебе решать)
5 и 35 лет сейчас