М
Молодежь
К
Компьютеры-и-электроника
Д
Дом-и-сад
С
Стиль-и-уход-за-собой
П
Праздники-и-традиции
Т
Транспорт
П
Путешествия
С
Семейная-жизнь
Ф
Философия-и-религия
Б
Без категории
М
Мир-работы
Х
Хобби-и-рукоделие
И
Искусство-и-развлечения
В
Взаимоотношения
З
Здоровье
К
Кулинария-и-гостеприимство
Ф
Финансы-и-бизнес
П
Питомцы-и-животные
О
Образование
О
Образование-и-коммуникации
hhhhh555550
hhhhh555550
25.10.2022 23:59 •  Математика

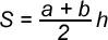
Основание трапеции равно 20и 41 высота-2 .найдите площадь трапеции

👇
Ответ:
LipskiyTimur
LipskiyTimur
25.10.2022
Формулу надо знать!2(20+41/2)=61
Основание трапеции равно 20и 41 высота-2 .найдите площадь трапеции
4,6(21 оценок)
Открыть все ответы
Ответ:
amersjeo
amersjeo
25.10.2022
Т.к они равновеликие они имеют одну площадь и из условия узнаем что их обьемы равны остюда система:
а×b×c(стороны прямоугьн. Параллелепипеда) =n(сторона куба)^3 и 2аb+2ac+2bc=6n^2
n=2 отсюда:
abc=8
ab+ac+bc=12
Натуральные Делители числа 8: 1;2;4;8
Теперь рассмотрим все варианты для стороны а:
А=1
bc=8
b+c+bc=12
Осюда видим что при а=1 нельзя подобрать натуральные значения b и с. Это так же качается и b, c они тоже не могут быть раны 1
а=2
bc=4
b+c=4
Зн b=c=2
А=4
bc=2
4b+4c+2=12
Отсюда видим что когда одна из сторон равна 4 невозможно подобрать натуральные значения b и с
а=8
bc=1
8b+8c+1=12
Аналогично с предыдущим. Невозможно подобрать натуральные значения b и с
ответ: 2;2;2
4,5(59 оценок)
Ответ:
renger100
renger100
25.10.2022

Пошаговое объяснение:

1) 16

в разряде единиц - 6

в разряде десятков -1

2) 234

в разряде единиц - 4

в разряде десятков - 3

в разряде сотен - 2

3) 4,7

в разряде десятых - 7

в разряде единиц  - 4

4) 52,68

в разряде сотых - 8

в разряде десятых -6

в разряде единиц -2

в разряде десятков - 5

5) 10,19

в разряде сотых - 9

в разряде десятых - 1

в разряде единиц -0

в разряде десятков - 1

6) 3,507

в разряде тысячных - 7

в разряде сотых - 0

в разряде десятых - 5

в разряде единиц - 3

7) 506,0506

в разряде десятитысячных -6

в разряде тысячных - 0

в разряде сотых - 5

в разряде десятых -0

в разряде единиц -6

в разряде десятков -0

в разряде сотен - 5

8) 78, 1002030

в разряде десятимиллионных -0

в разряде миллионных - 3

в разряде стотысячных -0

в разряде десятитысячных - 2

в разряде тысячных -0

в разряде сотых -0

в разряде десятых-1

в разряде единиц - 8

в разряде сотых - 7

4,5(95 оценок)
Это интересно:
Новые ответы от MOGZ: Математика
logo
Вход Регистрация
Что ты хочешь узнать?
Спроси Mozg
Открыть лучший ответ