М
Молодежь
К
Компьютеры-и-электроника
Д
Дом-и-сад
С
Стиль-и-уход-за-собой
П
Праздники-и-традиции
Т
Транспорт
П
Путешествия
С
Семейная-жизнь
Ф
Философия-и-религия
Б
Без категории
М
Мир-работы
Х
Хобби-и-рукоделие
И
Искусство-и-развлечения
В
Взаимоотношения
З
Здоровье
К
Кулинария-и-гостеприимство
Ф
Финансы-и-бизнес
П
Питомцы-и-животные
О
Образование
О
Образование-и-коммуникации
Diannata
Diannata
14.12.2021 00:58 •  Математика

Дві сторони трикутника довжиною 5 см і 8 см утворюють кут 30°. Знайти площу трикутника

👇
Ответ:
politovatanya1
politovatanya1
14.12.2021

10 см²

Пошаговое объяснение:

Дано: ΔАВС, АВ =5 см, АС = 8 см, ∠А=30°

Найти: S-?

Площа трикутника дорівнює половині добутку двох його сторін на синус кута між ними, тому:

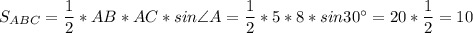
S_{ABC}=\dfrac{1}{2} *AB*AC*sin\angle A = \dfrac{1}{2} *5*8*sin30^\circ=20*\dfrac{1}{2} =10  см²


Дві сторони трикутника довжиною 5 см і 8 см утворюють кут 30°. Знайти площу трикутника
4,4(56 оценок)
Ответ:
Hdjfhdhe73747
Hdjfhdhe73747
14.12.2021

Площа трикутника — 10 см²

Пошаговое объяснение:

Площа трикутника дорівнює півдобутку двох його сторін, помноженому на синус кута між цими сторонами.

Тому можемо підставити дані з умови у формулу S = 0,5ab × sin(β), де a й b — сторони трикутника, а β — кут між ними.

S = 0,5 × 5 × 8 × sin(30°) = 0,5 × 40 × sin(30°) = 20 × sin(30°) = 20 × 0,5 = 10 см².

4,7(8 оценок)
Открыть все ответы
Ответ:
dashaspirik1
dashaspirik1
14.12.2021
В то время как первый мотоциклист проезжает 250 км, второй за то же время проходит 200 км. Значит скорость первого мотоциклиста в 250:200=1,25 раза больше.
Пусть  х км/час - скорость второго мотоциклиста, тогда скорость первого мотоциклиста составляет 1,25х.
S(расстояние)=v(скорость)*t(время)
t=S:v
Первый мотоциклист проезжает 600 км за 600/1,25x часов, а второй - 600/x часов
Составим и решим уравнение:
600/x-600/1,25x=3 (умножим всё на х):
600-480=3х
3х=120
х=40 (км/час) - скорость второго мотоциклиста
1,25х=1,25*4=50 (км/час) - скорость первого мотоциклиста
ответ:  скорость первого мотоциклиста  50 км/час, а второго 40 км/час.

(600:50=12 часов; 600:40=15 часов; 15-12=3 часа)
4,6(46 оценок)
Ответ:
Максим56065
Максим56065
14.12.2021
Сказки андерсена бронзовый кабан, бузинная матушка, вен и глен, ветер рассказывает о вальдемаре, до и его дочерях,, волшебный холм, всяк знай своё место! , гадкий утёнок, дикие лебеди, директор кукольного театра, дочь болотного царя, дюймовочка, елка, злой князь, золотой мальчик, калоши счастья, картошка, лён, маленький клаус и большой клаус, мотылек, навозный жук, новый наряд короля, о том, как буря перевесила вывески, огниво, оле-лукойе, пастушка и трубочист, предки птичницы греты, принцесса на горошине, пропащая, пятеро из одного стручка, русалочка, садовник и господа, свинопас, свинья-копилка, серебряная монетка, скороходы, снеговик, снежная королева, соловей, старый дом, стойкий оловянный солдатик, сундук-самолет, суп из колбасной палочки, счастливое семейство, тень, улитка и розы, что муженек ни сделает, все хорошо. выбирай из списка всё,что ты читала
4,5(83 оценок)
Новые ответы от MOGZ: Математика
logo
Вход Регистрация
Что ты хочешь узнать?
Спроси Mozg
Открыть лучший ответ