М
Молодежь
К
Компьютеры-и-электроника
Д
Дом-и-сад
С
Стиль-и-уход-за-собой
П
Праздники-и-традиции
Т
Транспорт
П
Путешествия
С
Семейная-жизнь
Ф
Философия-и-религия
Б
Без категории
М
Мир-работы
Х
Хобби-и-рукоделие
И
Искусство-и-развлечения
В
Взаимоотношения
З
Здоровье
К
Кулинария-и-гостеприимство
Ф
Финансы-и-бизнес
П
Питомцы-и-животные
О
Образование
О
Образование-и-коммуникации
Strelok72
Strelok72
24.11.2021 02:59 •  Математика

Знайдіть довжину медіани AM трикутника АВС, якщо А (2; 1; 3), В(2; 1; 5), С(0; 1; 1).

👇
Ответ:
elllis
elllis
24.11.2021

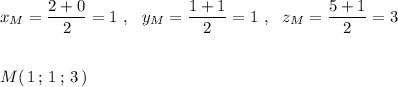
ответ:  AM=1  .

 Дан ΔАВС  ,  А(2; 1; 3)  ,  В(2; 1; 5) , С(0; 1; 1 )  .

Медиана АМ соединяет вершину А и середину стороны ВС .

Найдём координаты середины отрезка ВС как полусумму одноимённых координат концов отрезка .

x_{M}=\dfrac{2+0}{2}=1\ ,\ \ y_{M}=\dfrac{1+1}{2}=1\ ,\ \ z_{M}=\dfrac{5+1}{2}=3M(\, 1\, ;\, 1\, ;\, 3\, )  

Длина медианы равна длине отрезка АМ - это корень квадратный из суммы квадратов разностей одноимённых координат концов отрезка .

AM=\sqrt{(x_{M}-x_{A})^2+{(y_{M}-y_{A})^2+{(z_{M}-z_{A})^2}

AM=\sqrt{(1-2)^2+{(1-1)^2+{(3-3)^2}=\, 1

4,4(71 оценок)
Открыть все ответы
Ответ:
varvaraa2
varvaraa2
24.11.2021

Пусть 1-й велосипедист выехал со скоростью 18 км/ч их пункта А. 2-й велосипедист выехал из пункта В, отстоящего от пункта А в направлении движения на 9 км со скоростью 18*5/6 = 15 км/ч.

Пусть х - расстояние, которое проехал 2-й велосипедист из пункта В до того момента, когда 1-й его догнал, тогда

х = 15Т (1)

За время Т до встречи 1-й велосипедист проехал расстояние 9+х, тогда

9 + х = 18Т (2)

Подставим (1) в (2)

9 + 15Т = 18Т

9 = 3Т

Т = 3, тогда х = 15*3 = 45 (км) и  9+х = 54 (км)

Итак, через 3 часа велосипедисты окажутся рядом.

За это  время 1-й проехал 54 км, 2-й проехал 45 км

4,8(11 оценок)
Ответ:
Stanmashyna201
Stanmashyna201
24.11.2021
1) 53-28=25

2) 2м=200см
1м55см=155см
200-155=45 (см) - надо укоротить тесьму.
ответ: на 45 см.

3) 14014:7-180×3=1462
14014:7=2002
180×3=540
2002-540=1462

4) 90:3=30 (м.) - заняли родители.
ответ: 30 мест.

5) 20ч 25мин - 18ч 35мин = 1ч 50 мин - длится представление.
ответ: 1ч 50мин.

6) 36:8=4 (остаток 4) - парт на каждую машину, а на последнюю 4 парты.
Значит, нужно 5 машин.
ответ: 5 машин.

7) 192:6=32 (кг) - масса одного ящика, учитывая его собственную массу.
32-2=30 (кг) - масса одного ящика.
ответ: 30 кг.

8) 20×15=300 (м2) - разровнял.
300:2=150 (м2) - осталось разровнять.
ответ: 150 м2.
4,5(66 оценок)
Это интересно:
Новые ответы от MOGZ: Математика
logo
Вход Регистрация
Что ты хочешь узнать?
Спроси Mozg
Открыть лучший ответ