Степени в скобках написаны. 1см=10мм; Чтобы найти мм, надо см умножить на 10. 2•10(^-6)см= 2•10(^-6) • 10(^1)= 2•10(^-6+1)мм= 2•10(^-5)мм= 2• 1/10(^5)= 2/100000мм=0,00002мм
Или так 2•10(^-6)см= 2• 1/10(^6) см•10= 2• 1/10(^6) см •10(^1)= 1/10(^5)мм= 2• 1/100000мм = 2/100000мм= 0,00002мм
Как считать; если степень минус, то это число дробь; 3^-2 это 1/3^2 = 1/(3•3)= 1/9; 10^-2 = 1/10^2= 1/(10•10)=1/100=0,01.
Правило. Если одинаковое основание (число или буква) в умножении, то степени складываем например 5^2•5^7= 5^ (2+7)= 5^9; Или с минусом 5^-2 •5^4= 5^(-2+4)=2
или с минусом дробь делаем так 5^-2 • 5^4= 1/5^2• 5^4= 5^2. Степени как числа сократились 2 и 4 на два.
Все легко! Карлсон очень любит ходить по крышам. И вот как то раз с одной крыши он увидел в доме грудного ребенка. Ребенок лежал и плакал. Родителей рядом небыло. Карлсон полетел к Малышу и спросил кто лучшия в мире нянька. Он конечно ответил что Карлсон. Карлсон полетел забрал ребеночка и принес к себе в домик на крышу, там он дал ему бутылочку... . Пока карлсон летал к малышу ребенок подрос спрыгнул с кровати и стащил у карлсона весь запас колбасу. Карлсон подумал что если у этого ребенка есть родители то их надо проучить...
Дальше сама разберешься. И вообще про это в повести уже написанно посмотри в книге или в интернете.
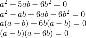
Положим
и
, причем 
Обратная замена