М
Молодежь
К
Компьютеры-и-электроника
Д
Дом-и-сад
С
Стиль-и-уход-за-собой
П
Праздники-и-традиции
Т
Транспорт
П
Путешествия
С
Семейная-жизнь
Ф
Философия-и-религия
Б
Без категории
М
Мир-работы
Х
Хобби-и-рукоделие
И
Искусство-и-развлечения
В
Взаимоотношения
З
Здоровье
К
Кулинария-и-гостеприимство
Ф
Финансы-и-бизнес
П
Питомцы-и-животные
О
Образование
О
Образование-и-коммуникации

Виконати завдання якнайшвидше

👇
Ответ:
kurilov218
kurilov218
05.06.2021

Відповідь:

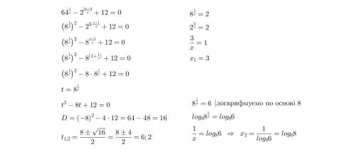
x_1=3x_2=log_68

Розв'язання в закріпленому фото


Виконати завдання якнайшвидше
4,6(45 оценок)
Открыть все ответы
Ответ:
zhazi9494e
zhazi9494e
05.06.2021
2 авторучки и 30 тетрадей - 2 кг = 2000 грамм.
Пустая портфель - 1 кг 300 грамм = 1300 грамм.
1 авторучка - 50 граммов.
1 тетрадь - ? граммов.
                                       Решение:
1)узнаем сколько весит  ручки
50*2=100 (граммов)
2)Отнимем из общей массы вес ручек
2000-100=1900(грамм)- вес портфели без ручек.
3)Теперь узнаем сколько весит 30 терадей
1900-1300=600(грамм)-30 тетрадей.
4)разделим это число на 30 чтобы получит вес 1 тетради:
600/30=20(граммов)-1 тетрадь.
ответ:1 тетрадь весит 20 граммов.
4,7(54 оценок)
Ответ:
natashakuznecz1
natashakuznecz1
05.06.2021
3.
(4х + 12)/3 + (25 - 8)/3 = 1
(4х + 12 + 25 - 8)/3 = 1
(4х + 29)/3 = 1
4х + 29 = 1 • 3
4х + 29 = 3
4х = 3 - 29
4х = - 26
х = -26 : 4
х = -6 1/2 или -6,5
ответ: х = -6 1/2 или х = -6,5

4.
2|х - 3| = 152
|х - 3| = 152 : 2
|х - 3| = 76
1) х - 3 = 76
х = 76 + 3
х = 79
2) -(х - 3) = 76
-х + 3 = 76
-х = 76 - 3
-х = 73
х = -73
ответ: х1 = 79; х2 = -73

5.
{ 3(х - 4) - 4(х + 3) ≤ 0
{ 3х + 2(3х - 2) > 5

{ 3х - 12 - 4х - 12 ≤ 0
{ 3х + 6х - 4 > 5

{ -х - 24 ≤ 0
{ 9х - 4 > 5

{ -х ≤ 24
{ 9х > 5 + 4

{ х ≥ -24
{ 9х > 9

{ х ≥ -24
{ х > 9 : 9

{ х ≥ -24
{ х > 1

___.-24∞
.0 __1 ∞

Пересечение и объединение числовых промежутков:
[-24; ∞) ∩ (1; ∞) = (1; ∞)

ответ: х ∈ (1; ∞).
.01∞

6.
|2х + 2| ≤ 4
1) 2х + 2 ≤ 4
2х ≤ 4 - 2
2х ≤ 2
х ≤ 2 : 2
х ≤ 1
х ∈ (-∞; 1]
.01

2) -(2х + 2) ≤ 4
-2х - 2 ≤ 4
-2х ≤ 4 + 2
-2х ≤ 6
х ≥ 6 : (-2)
х ≥ -3
х ∈ [-3; ∞)
-3.0
Объединение и пересечение множеств:

(-∞; 1] ∩ [-3; ∞) = [-3; 1]

.01.
___.-3.0

ответ: х ∈ [-3; 1].
4,6(52 оценок)
Это интересно:
Новые ответы от MOGZ: Математика
logo
Вход Регистрация
Что ты хочешь узнать?
Спроси Mozg
Открыть лучший ответ