Вход
Регистрация
Спроси Mozg AI
М
Молодежь
К
Компьютеры-и-электроника
Д
Дом-и-сад
С
Стиль-и-уход-за-собой
П
Праздники-и-традиции
Т
Транспорт
П
Путешествия
С
Семейная-жизнь
Ф
Философия-и-религия
Б
Без категории
М
Мир-работы
Х
Хобби-и-рукоделие
И
Искусство-и-развлечения
В
Взаимоотношения
З
Здоровье
К
Кулинария-и-гостеприимство
Ф
Финансы-и-бизнес
П
Питомцы-и-животные
О
Образование
О
Образование-и-коммуникации
.....больше.....
..меньше..
olesya8262
24.01.2021 08:07 •
Математика
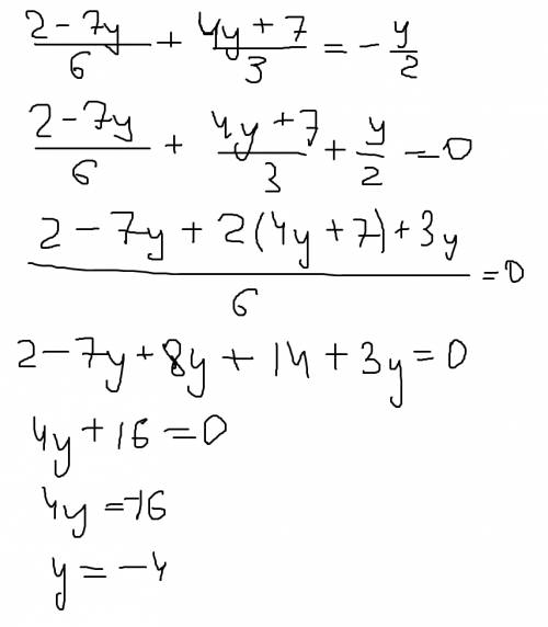
Корень уровнения. заранее ! 1)(2-7у)/6(записывается в дробях)+(4у+7)/3(это тоже)=-у/2(и это в дробях)!
👇
Увидеть ответ
Ответ:
10149
24.01.2021
См. прикрепленный файл
4,4
(66 оценок)
Открыть все ответы
Ответ:
kauymovemil
24.01.2021
25,2 : 3 4/3 + (6 - 4 1/3) * 0,6 = 6 53/65
1) 6 - 4 1/3 = 5 3/3 - 4 1/3 = 1 2/3
2) 25,2 : 3 4/3 = 252/10 : 13/3 = 252/10 * 3/13 = 756/130 = 378/65
3) 1 2/3 * 0,6 = 5/3 * 6/10 = 1
4) 378/65 + 1 = 378/65 + 65/65 = 443/65 = 6 53/65
(7 - 1 5/12) : 6,7 + (5,75 - 3 1/6) : 15,5 = 1
1)7 - 1 5/12 = 6 12/12 - 1 5/12 = 5 7/12
2) 5,75 - 3 1/6 = 575/100 - 19/6 = (3*575 - 50*19)/300 = (1725 - 950)/300 = 775/300 = 31/12
3) 5 7/12 : 6,7 = 67/12 : 67/10 = 67/12 * 10/67 = 5/6
4) 31/12 : 15,5 = 31/12 : 155/10 = 31/12 * 10/155 = 1/6
5) 5/6 + 1/6 = 6/6 = 1
4,4
(51 оценок)
Ответ:
инна103
24.01.2021
25,2 : 3 4/3 + (6 - 4 1/3) * 0,6 = 6 53/65
1) 6 - 4 1/3 = 5 3/3 - 4 1/3 = 1 2/3
2) 25,2 : 3 4/3 = 252/10 : 13/3 = 252/10 * 3/13 = 756/130 = 378/65
3) 1 2/3 * 0,6 = 5/3 * 6/10 = 1
4) 378/65 + 1 = 378/65 + 65/65 = 443/65 = 6 53/65
(7 - 1 5/12) : 6,7 + (5,75 - 3 1/6) : 15,5 = 1
1)7 - 1 5/12 = 6 12/12 - 1 5/12 = 5 7/12
2) 5,75 - 3 1/6 = 575/100 - 19/6 = (3*575 - 50*19)/300 = (1725 - 950)/300 = 775/300 = 31/12
3) 5 7/12 : 6,7 = 67/12 : 67/10 = 67/12 * 10/67 = 5/6
4) 31/12 : 15,5 = 31/12 : 155/10 = 31/12 * 10/155 = 1/6
5) 5/6 + 1/6 = 6/6 = 1
4,6
(47 оценок)
Это интересно:
К
Компьютеры-и-электроника
08.06.2020
Подробная инструкция: Как установить McAfee SiteAdvisor для Chrome...
Ф
Финансы-и-бизнес
10.05.2020
Как избежать ошибок в дейтрейдинге...
Х
Хобби-и-рукоделие
18.12.2021
Как сделать кожаные браслеты своими руками: простые шаги для начинающих...
С
Семейная-жизнь
04.10.2020
Как перестать быть ребенком в глазах родителей: советы психологов...
28.07.2020
Как справиться с гневом, связанным с видеоиграми...
З
Здоровье
09.02.2022
Как избежать повышенного кровяного давления: советы для здоровья...
С
Семейная-жизнь
06.02.2022
Как выйти замуж в зале суда: подробное руководство...
Д
Дом-и-сад
11.12.2022
Как избавиться от скунсов: лучшие способы...
К
Компьютеры-и-электроника
12.01.2021
Как произвести расчет заработной платы в Excel...
З
Здоровье
25.10.2020
Как выпустить кровь из отекшей ушной раковины ( капустное ухо )...
Новые ответы от MOGZ: Математика
Наргиз1ппп
08.06.2022
Обчислити значення виразу Обчислити значення виразу...
diduh2002
01.09.2020
Екстримуми функції y=-3x^2+2x^3...
urannoss127
16.04.2020
Определи: a) |−50| = ; б) модуль числа −0,1 равен...
gopexar
08.06.2022
РЕШИТЬ МАТЕМАТИКУ РЕШИТЬ МАТЕМАТИКУ >...
elsoc
12.07.2021
Известно, что =62;=−12. ответ: =...
Gamaun
16.04.2020
За зошит і 2 ручки треба заплатити 12 грн, а за зошит і 5 таких ручок-22,5 грн. Скільки коштує одна ручка?...
diasdias2000
16.04.2020
Длина куска провода 24 м. Израсходовали 3/8 куска. Сколько метров провода израсходовали?...
vlad1269
16.04.2020
Найди делимое, если делитель равен 14, неполное частное — 6 и остаток — 5....
Hedulik
29.10.2020
Решить уравнение 2cos x=-корень3...
kurbanbaevarseN
14.11.2021
ЭТО ТОЧНО (ОТВЕТЫ ДОЛЖНЫ БЫТЬ ВО ВСЕХ НОМЕРАХ ЭТО ТОЧНО (ОТВЕТЫ ДОЛЖНЫ БЫТЬ ВО ВСЕХ НОМЕРАХ) >...
MOGZ ответил
Нужно сочинение на тему Слово о полку Игореве в живописи ...
ЖАЗЫЛЫМ 6-тапсырма. Мәтін мазмұны бойынша жоспар құр. Тірек сөздерді анықта....
Төбе көз дәуді өлтірген Бисат туралы мәлімет...
Work with a partner. Look at the photos and the words in the box. Describe a...
ABCD тіктөртбұрыш диагональдарының O қиылысу нүктесі. Егер AO + BO + CO = 24...
3 1.08 Complete the questions in the History quiz with a past simple and a past...
1.2. 1) 7 саны 49-дың; 2) -6 саны 36-ның; 3) 0,1 саны 0,01-дің; 4) 14 9 саны...
1.8. EcenTeHep : 1) 64:9; 2) 5.49; 3) 10,04 + 50,16; 9 25 4) 25 : V100; 5) 581;...
2.Масса железнодорожного вагона (63+0,5) T., а масса дозы лекарств (0,15+0,005)...
поставить либо Past Simple или Past Continuous) и объясните как вы поставили...
Полный доступ к MOGZ
Живи умнее Безлимитный доступ к MOGZ
Оформи подписку
О НАС
О нас
Блог
Условия пользования
Авторское право
Политика конфиденциальности
Предпочтения cookie-файлов
ПОМОЩЬ
Зарегистрируйся
Центр помощи
Центр безопасности
App
Вход
Регистрация
Что ты хочешь узнать?
Спроси Mozg
Открыть лучший ответ