М
Молодежь
К
Компьютеры-и-электроника
Д
Дом-и-сад
С
Стиль-и-уход-за-собой
П
Праздники-и-традиции
Т
Транспорт
П
Путешествия
С
Семейная-жизнь
Ф
Философия-и-религия
Б
Без категории
М
Мир-работы
Х
Хобби-и-рукоделие
И
Искусство-и-развлечения
В
Взаимоотношения
З
Здоровье
К
Кулинария-и-гостеприимство
Ф
Финансы-и-бизнес
П
Питомцы-и-животные
О
Образование
О
Образование-и-коммуникации

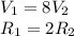
В13. объем первого шара в 8 раз больше объема второго. во сколько раз площадь поверхности первого шара больше площади поверхности второго?

👇
Ответ:
peterbayroshoxq5ei
peterbayroshoxq5ei
13.02.2020
V= \frac{4}{3} \pi R^{3}
V_{1} =8V_{2} \\ 
R_{1}=2R_{2}

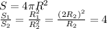
S=4 \pi R^{2} \\ 
 \frac{S_{1}}{S_{2}} = \frac{R_{1}^2}{R_{2}^2} = \frac{(2R_{2})^2}{R_{2}} =4
4,5(63 оценок)
Открыть все ответы
Ответ:
Polona1337
Polona1337
13.02.2020
1)480:(41+28+27)=5(л)-бумаги купил каждый учитель.                                                                                                                                                                     1)56-21=35(кг)-во второй день                                                                    2)35:7=5(кг)   3)5*2=10(кг)-сушёных яблок     1)440/(7-3)= 110 - мед с одной пчелиной семьи
2)110*3=330 - первый пчеловод
3)110*7=770 - второй пчеловод                                                                                                                                                                                                   1)8*5=40(л)-потребовалось на 8 книжек                                                          2)28*7=196(л)-потребовалось на 28 книжек                                                   3)26*6=156(л)-потребовалось на 26 книжек                                                    4)156+40+196=392(л)-потребовалось                                                                                                                                              7+5=12 игрушек
слдовательно 120/12 = 10 групп
таким образом 10*7 =70
10*5 =50                                                                                    
4,6(55 оценок)
Ответ:
ghhhghf
ghhhghf
13.02.2020
4.
     1) 41 + 28 + 27 = 96 учеников всего
      2) 480 : 96 = 5 листов каждому ученику
      3) 41 * 5 = 205 листов первый учитель
      4) 28 * 5 = 140 листов второй учитель
       5) 27 * 5 = 135 листов третий учитель

5.
       1) 56 - 21 = 35 кг собрали вто второй день
        2) 56 + 35 = 91 кг собрали за два дня
        3) 91 : 7 = 13 раз по 7 кг
        4 13 * 2 = 26 кг сушёных яблок

6.
         1) 7 - 3 = 4 пч. семьи  разница между пчеловодами
         2) 440 : 4 = 110 кг мёда с одной пчелиной семьи
         3) 3 * 110 = 330 кг мёда первый пчеловод
         4) 7 * 110 = 770 кг собрал второй пчеловод

7.
        1) 8 * 5 = 40 листов
         2) 28 * 7 = 196 листов
         3) 26 * 6 =  156 листов
         4) 40 + 196 + 156 = 392 листа понадобилось

8.
         1) 7 + 5 = 12 игрушек получила каждая группа
          2) 120 : 12 = 10 групп в дет.саду.
         3) 10 * 7 = 70 кукол
         4) 10 * 5 = 50 машинок
4,4(10 оценок)
Это интересно:
Новые ответы от MOGZ: Математика
logo
Вход Регистрация
Что ты хочешь узнать?
Спроси Mozg
Открыть лучший ответ