М
Молодежь
К
Компьютеры-и-электроника
Д
Дом-и-сад
С
Стиль-и-уход-за-собой
П
Праздники-и-традиции
Т
Транспорт
П
Путешествия
С
Семейная-жизнь
Ф
Философия-и-религия
Б
Без категории
М
Мир-работы
Х
Хобби-и-рукоделие
И
Искусство-и-развлечения
В
Взаимоотношения
З
Здоровье
К
Кулинария-и-гостеприимство
Ф
Финансы-и-бизнес
П
Питомцы-и-животные
О
Образование
О
Образование-и-коммуникации
hat345oxt288
hat345oxt288
23.03.2020 03:15 •  Математика

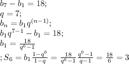
Найдите сумму первых 6-ти членов прогрессии (bn), если известно, что b7-b1=18, q=7.

👇
Ответ:
b_7-b_1=18;\\
q=7;\\
b_n=b_1q^{(n-1)};\\
b_1q^{7-1}-b_1=18;\\
b_1= \frac{18}{q^6-1}\\;
S_6=b_1 \frac{1-q^6}{1-q}= \frac{18}{q^6-1} \frac{q^6-1}{q-1}= \frac{18}{6}=3 

4,6(38 оценок)
Открыть все ответы
Ответ:
temaimcheg
temaimcheg
23.03.2020

Пошаговое объяснение:

1. Округлите числа до десятых и вычислите сумму 4,34705 + 0,22. Выберите правильный ответ.

4,34705 ≈ 4,3

0,22 ≈ 0,2

4,3 + 0,2 = 4,5

Варианты ответов

• 4,5

2. Найдите частное a и b, округленных до четырех значащих цифр: a= 27,4895 b=7,45764

а = 27,4895 ≈ 27,49

b = 7,45764 ≈ 7,458

27,49 : 7,458 = 3,686

Варианты ответов

• 3,686

3. Найдите приближённое значение выражения с точностью до тысячных:

2,5626 * 3,418935 = 8,76136283 ≈ 8,761

ответ: 8,761

4. Округлите число 8,4635755 с точностью до десятых и возведите в квадрат, и также округлите до десятых:

8,4635755 ≈ 8,5

8,52 = 72,25 ≈ 72,3

Варианты ответов:

• 72,3

5. Округлив числа a и b с точностью до тысячных, найдите приближённые значения выражений a = 193,6528; b = 0,004868.

a = 193,6528 ≈

b = 0,004868 ≈

Найдите разность: b – a

0,005 - 193,653 = -193,648

ответ: -193,648

6. Найдите приближённые значения выражений с точностью до сотых.

6,1286349 + (- 0,16754) = 5,9610949 ≈ 5,97

ответ: 5,97

7. Вставьте вместо пропуска цифру, чтобы получилось верное равенство. В ответ запишите пропущенное число.

3,_781 : 0,00494 ≈ 3,6 : 0,0049

ответ: 5

8. Вставьте вместо пропуска цифру, чтобы получилось верное равенство. В ответ запишите пропущенное число.

75,45_54 - 2,45287 ≈ 75,459 - 2,45287

ответ: 8

9. Найдите приближённые значения выражений с точностью до сотых:

45,34454 + 31,73365 = 77,07819 ≈ 77,08

ответ: 77,08

10. Округлив числа a и b с точностью до тысячных, найдите приближённые значения выражений a =-4,365; b =2,896

a = -4,365 = -4,365

b = 2,896 = 2,896

Найдите произведение: a*b=

-4,365 * 2,896 = -12,64104

4,7(9 оценок)
Ответ:
jru77
jru77
23.03.2020

Пошаговое объяснение:

1. Округлите числа до десятых и вычислите сумму 4,34705 + 0,22. Выберите правильный ответ.

4,34705 ≈ 4,3

0,22 ≈ 0,2

4,3 + 0,2 = 4,5

Варианты ответов

• 4,5

2. Найдите частное a и b, округленных до четырех значащих цифр: a= 27,4895 b=7,45764

а = 27,4895 ≈ 27,49

b = 7,45764 ≈ 7,458

27,49 : 7,458 = 3,686

Варианты ответов

• 3,686

3. Найдите приближённое значение выражения с точностью до тысячных:

2,5626 * 3,418935 = 8,76136283 ≈ 8,761

ответ: 8,761

4. Округлите число 8,4635755 с точностью до десятых и возведите в квадрат, и также округлите до десятых:

8,4635755 ≈ 8,5

8,52 = 72,25 ≈ 72,3

Варианты ответов:

• 72,3

5. Округлив числа a и b с точностью до тысячных, найдите приближённые значения выражений a = 193,6528; b = 0,004868.

a = 193,6528 ≈

b = 0,004868 ≈

Найдите разность: b – a

0,005 - 193,653 = -193,648

ответ: -193,648

6. Найдите приближённые значения выражений с точностью до сотых.

6,1286349 + (- 0,16754) = 5,9610949 ≈ 5,97

ответ: 5,97

7. Вставьте вместо пропуска цифру, чтобы получилось верное равенство. В ответ запишите пропущенное число.

3,_781 : 0,00494 ≈ 3,6 : 0,0049

ответ: 5

8. Вставьте вместо пропуска цифру, чтобы получилось верное равенство. В ответ запишите пропущенное число.

75,45_54 - 2,45287 ≈ 75,459 - 2,45287

ответ: 8

9. Найдите приближённые значения выражений с точностью до сотых:

45,34454 + 31,73365 = 77,07819 ≈ 77,08

ответ: 77,08

10. Округлив числа a и b с точностью до тысячных, найдите приближённые значения выражений a =-4,365; b =2,896

a = -4,365 = -4,365

b = 2,896 = 2,896

Найдите произведение: a*b=

-4,365 * 2,896 = -12,64104

4,8(40 оценок)
Это интересно:
Новые ответы от MOGZ: Математика
logo
Вход Регистрация
Что ты хочешь узнать?
Спроси Mozg
Открыть лучший ответ