М
Молодежь
К
Компьютеры-и-электроника
Д
Дом-и-сад
С
Стиль-и-уход-за-собой
П
Праздники-и-традиции
Т
Транспорт
П
Путешествия
С
Семейная-жизнь
Ф
Философия-и-религия
Б
Без категории
М
Мир-работы
Х
Хобби-и-рукоделие
И
Искусство-и-развлечения
В
Взаимоотношения
З
Здоровье
К
Кулинария-и-гостеприимство
Ф
Финансы-и-бизнес
П
Питомцы-и-животные
О
Образование
О
Образование-и-коммуникации
Zakermanmatematik
Zakermanmatematik
10.12.2021 16:01 •  Математика

Найти ассимптоты функции y=x*arctg(x) нужно

👇
Ответ:
Arisha2544
Arisha2544
10.12.2021
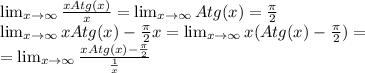
\lim_{x \to \infty} \frac{xAtg(x)}{x}= \lim_{x \to \infty} Atg(x)= \frac{\pi}{2} \\
 \lim_{x \to \infty} xAtg(x)-\frac{\pi}{2}x =\lim_{x \to \infty} x(Atg(x)-\frac{\pi}{2})= \\
= \lim_{x \to \infty} \frac{xAtg(x)-\frac{\pi}{2}}{\frac{1}{x}}
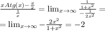
Числитель и знаменатель непрерывно дифференциируемы на требуемой области, можем применить правило Лопиталя.
Из правила Лопиталя получаем: \frac{xAtg(x)-\frac{\pi}{2}}{\frac{1}{x}}= \lim_{x \to \infty} \frac{\frac{1}{1+x^2}}{-\frac{1}{2x^2}}= \\
= \lim_{x \to \infty} -\frac{2x^2}{1+x^2}=-2
Первая асимптота при x \to \infty будет y_1=\frac{\pi}{2}x-2

По тому-же принципу находим вторую асимптоту (расчёты подобны, потому их упускаю):
\lim_{x \to -\infty} \frac{xAtg(x)}{x}=-\frac{\pi}{2} \\
 \lim_{x \to -\infty} x(Atg(x)+ \frac{\pi}{2})=-2
Вторая асимптота при x \to -\infty будет y_2=-\frac{\pi}{2}x-2
4,6(95 оценок)
Открыть все ответы
Ответ:
natik2005
natik2005
10.12.2021

Периметр - это сума длин всех сторон. Вычислим длину каждой стороны.

Первая сторона 512 см по условию

Вторая сторона в три раза меньше первой,значит

1) 512 : 3= (170 целых 2/3) см - вторая сторона

Третья сторона на 3 см больше второй, значит:  

2) 170 целых 2/3 см + 3= (173 целых 2/3) см- третья сторона

Четвертая сторона на 15 см больше третьей

3) (173 целых  2/3) + 15=(188 целых 2/3 ) см- четвертая сторона

Теперь найдем периметр:

4) 512 + (170 целых 2/3) + (173 целых 2/3)  + (178 целых 2/3 ) = 512+170+173+188+ (2+2+2)/3 =682+173+188+2=855+190= 1045 см

ответ: периметр четырехугольника 1045 см

4,6(80 оценок)
Ответ:
Саша22877324516
Саша22877324516
10.12.2021

Шёлк зародился в Китае.

Мифы о шёлке:

Впервые секрет изготовления шелка был открыт в Китае пять тысяч лет назад.

Древняя легенда гласит, что однажды 14-летняя Си Линг Чи, жена третьего императора Китая Хуан Ди, которого называли еще «Желтым императором» , в саду дворца под кроной тутового дерева пила чай и в ее чашку с чаем с дерева упал кокон шелкопряда.

Юная императрица и ее служанки были крайне удивлены, увидев, как в горячей воде кокон начал разворачиваться, выпустив тонкую шелковую нить. Заинтересовавшись, девушка стала наблюдать, как разворачивался кокон.

Си Линг Чи была так поражена красотой и прочностью шелковой нити, что собрала тысячи коконов и из них соткала императору одежду.

Так крошечная бабочка-шелкопряд подарила всему человечеству шелк, а императрица в благодарность за столь ценный подарок была возведена в ранг божества.

Пошаговое объяснен

4,6(39 оценок)
Это интересно:
logo
Вход Регистрация
Что ты хочешь узнать?
Спроси Mozg
Открыть лучший ответ