М
Молодежь
К
Компьютеры-и-электроника
Д
Дом-и-сад
С
Стиль-и-уход-за-собой
П
Праздники-и-традиции
Т
Транспорт
П
Путешествия
С
Семейная-жизнь
Ф
Философия-и-религия
Б
Без категории
М
Мир-работы
Х
Хобби-и-рукоделие
И
Искусство-и-развлечения
В
Взаимоотношения
З
Здоровье
К
Кулинария-и-гостеприимство
Ф
Финансы-и-бизнес
П
Питомцы-и-животные
О
Образование
О
Образование-и-коммуникации
gh4477
gh4477
21.03.2023 08:12 •  Математика

Найти объем продукции, произведенной за период [0; 34], если функция кобба-дугласа имеет вид f(t)=(170+5t)e^t/68 методом интегрирования по частям

👇
Ответ:
Нармин59
Нармин59
21.03.2023
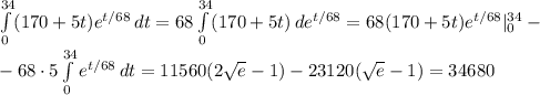
\int\limits_0^{34}(170+5t)e^{t/68 }\,dt=68\int\limits_0^{34}(170+5t)\,de^{t/68}=68(170+5t)e^{t/68}|_0^{34}-\\-68\cdot5\int\limits_0^{34}e^{t/68}\,dt=11560(2\sqrt e-1)-23120(\sqrt e-1)=34680
4,5(18 оценок)
Открыть все ответы
Ответ:
bezrodnayamila
bezrodnayamila
21.03.2023
Билет №1
Теоретическая часть.
1. Вопрос: Какая функция является линейной?
ответ: Линейной является функция вида: f=kx+b.
2. Вопрос: Как умножить степени с одинаковыми основаниями?
ответ: При умножения степеней с одинаковыми основаниями степени складываются, а основа остается прежней.
Билет №2:
Теоретическая часть.
1. Вопрос: Что является графиком линейной функции? Как можно построить такой график?
ответ: Графиком линейной функции является ПРЯМАЯ. Что бы построить график линейной функции можно подставить поочередно два любых значения аргумента и вычислить значение функции (получить координаты двух точек) , после чего отметить эти точки на координатной плоскости и соединить их прямой.
2. Вопрос: Как разделить степени с одинаковыми основаниями?
ответ: Чтобы разделить степени с одинаковыми основаниями нужно вычесть степени, а основание оставить прежним.
Билет №3
Теоретическая часть.
1. Вопрос: Как найти точки пересечения графика линейной функции с осями координат:
ответ: Чтобы найти точки пересечения графика функции y=f(x) с осью абсцисс, надо решить уравнение f(x)=0 (то есть найти нули функции).
Чтобы найти точку пересечения графика функции с осью ординат, надо в формулу функции вместо каждого x подставить нуль, то есть найти значение функции при x=0: y=f(0).

Примеры.

1) Найти точки пересечения графика линейной функции y=kx+b с осями координат.

Решение:

В точке пересечения графика функции с осью Ox y=0:

kx+b=0, => x= -b/k. Таким образом, линейная функция пересекает ось абсцисс в точке (-b/k; 0).
В точке пересечения с осью Oy x=0:

y=k∙0+b=b. Отсюда, точка пересечения графика линейной функции с осью ординат — (0; b).
2. Вопрос: Как возвести степень в степень?
ответ: Чтобы возвести степень в степень нужно перемножить степени. Например:
( {x}^{2} ) ^{2}= {x}^{4}
P. s: Решать практическую часть не буду, т.к могу ошибиться...
4,8(15 оценок)
Ответ:
Bezzybka
Bezzybka
21.03.2023
Первый
1)  5*а = 5а (руб) - стоят 5 школьных тетрадей
2)  5*с = 5с(руб) - стоят 5 общих тетрадей
3)  (5а + 5с) - стоят  все тетради вместе.
     ответ: (5а + 5с) стоят все тетради
Второй
1) (а + с ) рублей стоят вместе 1 школьная и 1 общая тетрадь
2) 5 * (а + с) (рублей) стоят все тетради вместе.
   ответ: 5(а + с) рублей стоят все тетради.
Эти два даны с учётом того, что условие задачи просто не дописано.

Но если вопрос написан верно, тогда решение будет следующим:
Первый а = 5а (руб) стоят все школьные тетради
Второй а + а + а + а + а = 5а (руб) стоят все школьные тетради
4,7(98 оценок)
Это интересно:
Новые ответы от MOGZ: Математика
logo
Вход Регистрация
Что ты хочешь узнать?
Спроси Mozg
Открыть лучший ответ