М
Молодежь
К
Компьютеры-и-электроника
Д
Дом-и-сад
С
Стиль-и-уход-за-собой
П
Праздники-и-традиции
Т
Транспорт
П
Путешествия
С
Семейная-жизнь
Ф
Философия-и-религия
Б
Без категории
М
Мир-работы
Х
Хобби-и-рукоделие
И
Искусство-и-развлечения
В
Взаимоотношения
З
Здоровье
К
Кулинария-и-гостеприимство
Ф
Финансы-и-бизнес
П
Питомцы-и-животные
О
Образование
О
Образование-и-коммуникации
иваивиыви
иваивиыви
12.10.2020 03:39 •  Математика

1) найдите сумму первых 25 членов арифметической прогрессии -2; 1; 2) найдите сумму первых 6 членов прогрессии 32: 27: 16: 9; 3) найдите сумму бесконечной прогрессии 6: 4;

👇
Ответ:
CERN
CERN
12.10.2020
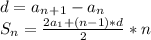
1) невозможно найти d - разность арифметической прогрессии (видимо ошибка в условии). напишу формулы
d=a_n_+_1-a_n \\ S_n= \frac{2a_1+(n-1)*d}{2}*n
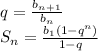
2) найти знаменатель q геометрической прогрессии тоже не получается из-за ошибки в условии. пишу формулы.
q= \frac{b_n_+_1}{b_n} \\ S_n= \frac{b_1(1-q^n)}{1-q}
3) формула суммы членов бесконечной убывающей геометрической прогрессии
S= \frac{b_1}{1-q} \\ S= \frac{6}{1- \frac{2}{3}}= \frac{6}{ \frac{1}{3}}=6*3=18
4,6(14 оценок)
Открыть все ответы
Ответ:
СаММЫч
СаММЫч
12.10.2020

Библиотеке надо переплести 18000 книг Одна мастерская может выполнить эту работу за 3 дня, а другая за 6 дней За сколько дней переплетут все книги обе


1) 18000:3=6000 книг в день переплетает первая мастерская
2) 18000:6=3000 книг переплетает вторая мастерская.
3) 3000+6000=9000 книг переплетают в день обе мастерские вместе.
4) 18000:9000=2 дня уйдет на работу, если обе мастерские будут работать вместе.Или 
2-й
Пуст 1 — это задание, соответствующее 18000 книгам.
1) 1:3=1/3 — производительность первой мастерской
2) 1:6=1/6 — производительность второй мастерской
3) 1/3 + 1/6 = 2/6 +1/6=3/6 =1/2
4) 1 : 1/2 = 2 дня уйдет на работу, если обе мастерские будут работать вместе.1. 3+6=9
2. 18000:9=900
3. 18000:900=2
4,4(54 оценок)
Ответ:
Oufaa
Oufaa
12.10.2020
1. Одна сторона x см, другая x+d см, третья x+2d см.
x+x+d+x+2d = 24
3x+3d = 24
x+d = 8
x = 8-d - одна сторона.
8-d+d = 8 см - вторая сторона
8-d+2d = 8+d - третья сторона.
То есть, одну сторону можно определить точно - 8 см. Две другие зависят от шага прогрессии d.
Подставив любое d < 8, можно найти длины сторон. Целые значения:
1) 1, 8, 15
2) 2, 8, 14
3) 3, 8, 13
4) 4, 8, 12
5) 5, 8, 11
6) 6, 8, 10
7) 7, 8, 9

2. 15-10 = 5 дней просрочки.
1%*5 = 5% пени
120*5% = 120*0,05 = 6 руб - сумма пени.
120+6 = 126 руб - квартплата с пеней.
4,4(70 оценок)
Это интересно:
Новые ответы от MOGZ: Математика
logo
Вход Регистрация
Что ты хочешь узнать?
Спроси Mozg
Открыть лучший ответ