М
Молодежь
К
Компьютеры-и-электроника
Д
Дом-и-сад
С
Стиль-и-уход-за-собой
П
Праздники-и-традиции
Т
Транспорт
П
Путешествия
С
Семейная-жизнь
Ф
Философия-и-религия
Б
Без категории
М
Мир-работы
Х
Хобби-и-рукоделие
И
Искусство-и-развлечения
В
Взаимоотношения
З
Здоровье
К
Кулинария-и-гостеприимство
Ф
Финансы-и-бизнес
П
Питомцы-и-животные
О
Образование
О
Образование-и-коммуникации
hazret
hazret
20.08.2021 15:53 •  Математика

Взамен с любыми предметами. cos3x + корень из 3 sin 3x = -1 . 1 пример остался и не могу решить.

👇
Ответ:
DanchikSummer
DanchikSummer
20.08.2021
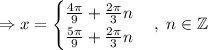
\cos3x+\sqrt3\sin3x=-1\\-1-\sqrt3\sin3x=\cos3x\\-1-\sqrt3\sin3x=\sqrt{1-\sin^23x}\\1+2\sqrt3\sin3x+3\sin^23x=1-\sin^23x\\4\sin^23x+2\sqrt3\sin3x=0\\2\sin^23x+\sqrt3\sin3x=0\\\sin3x(2\sin3x+\sqrt3)=0\\\sin3x=0\Rightarrow3x=\pi n\Rightarrow x=\frac\pi3n,\;n\in\mathbb{Z}\\2\sin3x+\sqrt3=0\Rightarrow\sin3x=-\frac{\sqrt3}2\Rightarrow3x=\begin{cases}\frac{4\pi}3+2\pi n\\\frac{5\pi}3+2\pi n\end{cases}\Rightarrow
\Rightarrow x=\begin{cases}\frac{4\pi}9+\frac{2\pi}3 n\\\frac{5\pi}9+\frac{2\pi}3 n\end{cases},\;n\in\mathbb{Z}
4,5(24 оценок)
Открыть все ответы
Ответ:
kreatuv41kp06t42
kreatuv41kp06t42
20.08.2021
Часто мы страдаем от проявлений упрямства, нетерпеливости, самоуничижения, жадности, добровольного мученичества, высокомерия и саморазрушения. Эти недостатки не дают нам наслаждаться жизнью и отравляют самые приятные ее моменты. Как справиться с собственными отрицательными чертами характера? Обычно недостатки не ходят поодиночке. Если вы мученица в душе, скорее всего, вы нетерпеливы. Высокомерные люди часто жадны, а упрямые высокомерны. Совсем необязательно бороться сразу со всеми своими недостатками. Велика вероятность того, что на месте исчезнувшего, тут же появится новый. Если из приведенных ниже признаков вы найдете у себя больше пяти, значит, пора начинать борьбу с собственными отрицательными чертами. Высокомерность Высокомерные люди почти всегда прекрасно выглядят и отличаются самодисциплиной. А это согласитесь скорее достоинства, чем недостатки. Однако они рискуют стать одинокими. Кроме того, они очень сильно переживают неудачи и избегают искренности в общении. А все потому, что они в глубине души не уверены в себе. Признаки высокомерных особ: – Не нуждаются в советах и рассчитывают только на себя. Высокомерные люди не выносят критики и всегда уверены в своей правоте; – Никогда не просят в долг; – Соблюдают дистанцию в отношениях с коллегами и подчиненными; – Получают удовольствие от чужой зависти; – Считают, что себя достойными всяческих комплиментов; – Не любят хвалить других; – Часто бывают одинокими, так как с трудом идут на сближение; – Не любят, когда их сравнивают с кем-либо; – Считают, что родители их недолюбливали; – Не любят проигрывать; – Не умеют выражать свои эмоции и не любят эмоциональных натур. Если вам знакомы многие из черт, указанных выше, значит, пора начать бороться с собственным высокомерием. Не бойтесь быть откровенными! Смейтесь и не держите все эмоции в себе! Не бойтесь быть смешной и раскованной! Хвалите окружающих! Демонстрируйте интерес к людям! Не бойтесь попросить совета! Старайтесь даже к критике относиться с юмором! Не воспринимайте каждое замечание в штыки! Будьте проще, и у вас появится больше доброжелателей и друзей! Самоедство Люди, которые склонны к самоедству, как правило, скромны, непритязательны и неприхотливы. Однако, низкая самооценка, безынициативность и чувство одиночества часто отравляют им жизнь.
4,4(70 оценок)
Ответ:
varsockaya
varsockaya
20.08.2021
Часто мы страдаем от проявлений упрямства, нетерпеливости, самоуничижения, жадности, добровольного мученичества, высокомерия и саморазрушения. Эти недостатки не дают нам наслаждаться жизнью и отравляют самые приятные ее моменты. Как справиться с собственными отрицательными чертами характера? Обычно недостатки не ходят поодиночке. Если вы мученица в душе, скорее всего, вы нетерпеливы. Высокомерные люди часто жадны, а упрямые высокомерны. Совсем необязательно бороться сразу со всеми своими недостатками. Велика вероятность того, что на месте исчезнувшего, тут же появится новый. Если из приведенных ниже признаков вы найдете у себя больше пяти, значит, пора начинать борьбу с собственными отрицательными чертами. Высокомерность Высокомерные люди почти всегда прекрасно выглядят и отличаются самодисциплиной. А это согласитесь скорее достоинства, чем недостатки. Однако они рискуют стать одинокими. Кроме того, они очень сильно переживают неудачи и избегают искренности в общении. А все потому, что они в глубине души не уверены в себе. Признаки высокомерных особ: – Не нуждаются в советах и рассчитывают только на себя. Высокомерные люди не выносят критики и всегда уверены в своей правоте; – Никогда не просят в долг; – Соблюдают дистанцию в отношениях с коллегами и подчиненными; – Получают удовольствие от чужой зависти; – Считают, что себя достойными всяческих комплиментов; – Не любят хвалить других; – Часто бывают одинокими, так как с трудом идут на сближение; – Не любят, когда их сравнивают с кем-либо; – Считают, что родители их недолюбливали; – Не любят проигрывать; – Не умеют выражать свои эмоции и не любят эмоциональных натур. Если вам знакомы многие из черт, указанных выше, значит, пора начать бороться с собственным высокомерием. Не бойтесь быть откровенными! Смейтесь и не держите все эмоции в себе! Не бойтесь быть смешной и раскованной! Хвалите окружающих! Демонстрируйте интерес к людям! Не бойтесь попросить совета! Старайтесь даже к критике относиться с юмором! Не воспринимайте каждое замечание в штыки! Будьте проще, и у вас появится больше доброжелателей и друзей! Самоедство Люди, которые склонны к самоедству, как правило, скромны, непритязательны и неприхотливы. Однако, низкая самооценка, безынициативность и чувство одиночества часто отравляют им жизнь.
4,5(58 оценок)
Это интересно:
Новые ответы от MOGZ: Математика
logo
Вход Регистрация
Что ты хочешь узнать?
Спроси Mozg
Открыть лучший ответ