
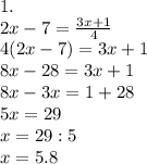
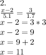
Так как не сказано, с какой стороны будет касание, то решений будет 2.
Так как заданная прямая, к которой будет касание, вертикальна, то центр окружности будет левее и правее её на величину радиуса, то есть появилось ещё одно условие расположения центра окружности.
Это будут прямые х = 1 - 2 = -1 и х = 1 + 2 = 3.
Находим координаты центров окружностей как точки пересечения заданной прямой x+2y-1=0 и двух найденных х = -1 и х = 3.
Подставляем значения х в уравнение прямой x+2y-1=0.
-1 + 2у -1 = 0,
2у = 2, у = 2/2 = 1.
Один центр найден: А(-1; 1).
Аналогично находим:
3 + 2у -1 = 0,
2у = -2, у = -2/2 = -1.
В(3; -1).
ответ: (x + 1)² + (y - 1)² = 2².
(x - 3)² + (y + 1)² = 2².
г)3/5
д)3/5.
е)3/16.
Пошаговое объяснение:
г) 7/15 - (2/3 - 3/5) = сначала выражение в скобках приводим к общему знаменателю.
7/15 - (10/15 - 9/15) выражение в скобках равняется 1/15
7/15 - 1/15 = 6/15 = 3/5
д) 0,25 + 5/7 - 3/4 число 0,25 можно преобразовать в дробь 25/100 или 1/4. получается:
1/4 + 5/7 - 3/4 числа 1/4 и -3/4 складываем и получается:
-2/4 + 5/7 приводим к общему знаменателю (28)
-8/28 + 20/28 = 12/20 = 6/10 = 3/5.
е) 9/16 - (0,125 + 1/4) в скобках число 0,125 можно преобразовать в число 125/1000 или 2/16, (в данном случае лучше сократить до 16, т.к. потом это число будет общим делителем.) получается:
9/16 - (2/16 + 1/4) число 1/4 умножаем на 4 (чтобы привести к общему знаменателю) получается 4/16, и сразу складываем
9/16 - 6/16 = 3/16.
Надеюсь