М
Молодежь
К
Компьютеры-и-электроника
Д
Дом-и-сад
С
Стиль-и-уход-за-собой
П
Праздники-и-традиции
Т
Транспорт
П
Путешествия
С
Семейная-жизнь
Ф
Философия-и-религия
Б
Без категории
М
Мир-работы
Х
Хобби-и-рукоделие
И
Искусство-и-развлечения
В
Взаимоотношения
З
Здоровье
К
Кулинария-и-гостеприимство
Ф
Финансы-и-бизнес
П
Питомцы-и-животные
О
Образование
О
Образование-и-коммуникации
123тася321
123тася321
31.01.2020 12:38 •  Математика

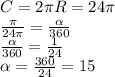
Знайдіть градусну міру дуги кола, довжина якої дорівнює пи см, якщо радіус кола дорівнює 12 см

👇
Ответ:
pokintokin
pokintokin
31.01.2020

C = 2\pi R= 24\pi \\ \frac{\pi}{24\pi} = \frac{ \alpha }{360} \\ \frac{ \alpha }{360} = \frac{1}{24} \\ \alpha = \frac{360}{24} = 15

Відповідь: 15°

4,5(79 оценок)
Открыть все ответы
Ответ:
ден1005
ден1005
31.01.2020
Чудо, что же это такое? Чудо - это, волшебство! Так же чудо используют, чтобы описать что-то или кого-то! Так вот в этом сочинение, я буду применять слово "чудо" для описания чего-то важного! А важным является мир. Да,да! Именно мир, который сейчас окружает нас! Мир, в котором мы все родились, мир, в котором мы все выросли и живём! Мир - это что-то волшебное,а как было написано выше, чудо по моему мнению это - волшебство! До сих пор люди не раскрыли все тайны мира! Конечно, ведь кто готов выдать все свои тайны сразу? Это будет протекать медленно и таиственнно! Таиственно, значит интерсно, ох, а ведь многие люди любят слово "таинсвтенно", поэтому я смотрю на мир, как на чудо! Чудо, в котором мы узнаем новое, познаем все эмоции, которые можно иметь. Мир - это не простое измерение, как считают учёные! Мир - это чудо!
4,5(29 оценок)
Ответ:
Vrronika778
Vrronika778
31.01.2020
) 80 : 20=4 (б.) - понадобится, чтобы долететь до базы.
За два захода.
Первый заход: он берёт три и улетает на 20 километров. Использует по пути Выбрасывает его. Оставляет там второй (в космосе с ним ничего не случится). Тратит третий , чтобы вернуться в ракету.
Второй заход: берёт оставшиеся три и улетает на те же 20 километров. Выбрасывает его и забирает тот, что оставил в раз. И у него опять три .
Ну, а дальше ему хватит (на одном долетит до 40 км, на втором - до 60 и на третьем - до 80, то есть до базы).
4,4(79 оценок)
Это интересно:
Новые ответы от MOGZ: Математика
logo
Вход Регистрация
Что ты хочешь узнать?
Спроси Mozg
Открыть лучший ответ