М
Молодежь
К
Компьютеры-и-электроника
Д
Дом-и-сад
С
Стиль-и-уход-за-собой
П
Праздники-и-традиции
Т
Транспорт
П
Путешествия
С
Семейная-жизнь
Ф
Философия-и-религия
Б
Без категории
М
Мир-работы
Х
Хобби-и-рукоделие
И
Искусство-и-развлечения
В
Взаимоотношения
З
Здоровье
К
Кулинария-и-гостеприимство
Ф
Финансы-и-бизнес
П
Питомцы-и-животные
О
Образование
О
Образование-и-коммуникации
иван1208
иван1208
28.11.2020 21:10 •  Математика

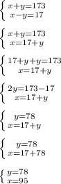
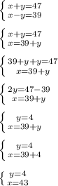
Составить и решить систему уравнений к : 1)найдите скорости двух автомобилей, если известно, что скорость их сближения равна 173 км/ч, а скорость удаления равна 17 км/ч. 2)найдите скорость течения реки и собственную скорость теплохода, если его скорость по течению реки равна 47 км/ч, а против течения - 39 км/ч.

👇
Ответ:
Andry211208
Andry211208
28.11.2020
В обоих случаях принцип решения будет одинаков. обозначим через х скорость первого автомобиля (или скорость катера), а через у скорость второго автомобиля (или скорость течения реки). составляем систему уравнений.
\left \{ {{x+y=173} \atop {x-y=17}} \right. \\ \\ \left \{ {{x+y=173} \atop {x=17+y}} \right. \\ \\ \left \{ {{17+y+y=173} \atop {x=17+y}} \right. \\ \\ \left \{ {{2y=173-17} \atop {x=17+y}} \right. \\ \\ \left \{ {{y=78} \atop {x=17+y}} \right. \\ \\ \left \{ {{y=78} \atop {x=17+78}} \right. \\ \\ \left \{ {{y=78} \atop {x=95}} \right.
аналогично решается и вторая задача
\left \{ {{x+y=47} \atop {x-y=39}} \right. \\ \\ \left \{ {{x+y=47} \atop {x=39+y}} \right. \\ \\ \left \{ {{39+y+y=47} \atop {x=39+y}} \right. \\ \\ \left \{ {{2y=47-39} \atop {x=39+y}} \right. \\ \\ \left \{ {{y=4} \atop {x=39+y} \right. \\ \\ \left \{ {{y=4} \atop {x=39+4}} \right. \\ \\ \left \{ {{y=4} \atop {x=43}} \right.
естественно, что все скорости измеряются в км/ч
4,8(81 оценок)
Открыть все ответы
Ответ:
yakymov
yakymov
28.11.2020

От Московского вокзала поверните налево и дойдите до Аничкова моста, украшенного знаменитыми конными группами. Вы увидите сам Аничков мост и Аничков дворец, который в 1750-х годах был резиденцией императрицы Елизаветы Петровны.

Идите дальше по Невскому проспекту прямо к Большому Гостиному Двору и католическому костёлу Святой Екатерины.

Гостиный двор - это самый старый торговый центр города, а костёл - это первый католический храм нашей страны.

Далее за каналом Грибоедова вы увидите Казанский мост, с открывается великолепный вид на храм на-крови, и Казанский собор, построенных в 1800-х годах по указу Павла I. 

Дальше вы идёте мимо протестантского собора святого Петра и выходите прямо к Строгановскому дворцу - единственному зданию на этом проспекте, у которого не изменили фасад.

Вы вышли на Дворцовую площадь прямо у Зимнему Дворцу.


Тпо окружающий мир как от московского вокзала добраться до зимнего дворца. напиши, какие достопримеч
4,7(55 оценок)
Ответ:
Samvel7777
Samvel7777
28.11.2020
( 1 2/3-37/75 )*x=2 1/3-4 1/5
1 2\3х-37\75х=2 5\15-4 3\15
1 50\75х-37\75х=2 5\15-3 18\15
1 13\75х=-1 13\15
х=-1 13\15:1 13\75
х=-28\15*75\88
х=-35\22
х=-1 13\22

(1 3/4-1 49/48)*x= 1 2/3-3 5/7
1 3\4х-1 49\48х=1 14\21-3 15\21
1 36\48х-1 49\48х=-2 1\21
-13\48х=-2 1\21
х=-2 1\21:(-13\48)
х=-43\21*(-48\13)
х=688\91
х=7 51\91

3/4x-1.5=1 2/3-0.2x
3\4х+0.2х=1 2\3+1.5
3\4х+1\5х=1 2\3+3\2
15\20х+4\20х=1 4\6+9\6
19\20х=1 13\6
19\20х=3 1\6
х=3 1\6:19\20
х=19\6*20\19
х=10\3
х=3 1\3

3 1/3-0.2x=2/3x+5.4
-0.2х-2\3х=5.4-3 1\3
-1\5х-2\3х=27\5-10\3
-3\15х-10\15х=81\15-50\15
-13\15х=31\15
х=31\15:(-13\15)
х=31\15*(-15\13)
х=-31\13
х=-2 5\13
4,5(97 оценок)
Это интересно:
Новые ответы от MOGZ: Математика
logo
Вход Регистрация
Что ты хочешь узнать?
Спроси Mozg
Открыть лучший ответ