М
Молодежь
К
Компьютеры-и-электроника
Д
Дом-и-сад
С
Стиль-и-уход-за-собой
П
Праздники-и-традиции
Т
Транспорт
П
Путешествия
С
Семейная-жизнь
Ф
Философия-и-религия
Б
Без категории
М
Мир-работы
Х
Хобби-и-рукоделие
И
Искусство-и-развлечения
В
Взаимоотношения
З
Здоровье
К
Кулинария-и-гостеприимство
Ф
Финансы-и-бизнес
П
Питомцы-и-животные
О
Образование
О
Образование-и-коммуникации
Вишня007
Вишня007
24.02.2023 02:19 •  Математика

А) sin(квадрат)x - 2sinx * cosx=3cos(квадрат)x б)2sin(квадрат)x=cosx+1 ! надо!

👇
Ответ:
nurmuh4med
nurmuh4med
24.02.2023
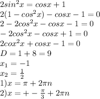
sin^2x-2sinxcisx=3cos^2x\\
sin^2x-2sinxcisx-3cos^2x=0\ |:cos^2x\\
tg^2x-2tgx-3=0;\\
D=4+12=16\\
x_{1,2}= \frac{2+-4}{2}\\ x_1=3\\ x_2=-1\\
1) x=arctg3+ \pi n\\
2)x=\frac{3 \pi }{4} + \pi n

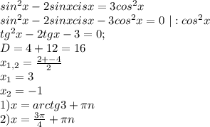
2sin^2x=cosx+1\\
2(1-cos^2x)-cosx-1=0\\
2-2cos^2x-cosx-1=0\\
-2cos^2x-cosx+1=0\\
2cox^2x+cosx-1=0\\
D=1+8=9\\
x_1=-1\\
x_2=\frac{1}{2}\\
1)x= \pi +2 \pi n\\
2)x=+-\frac{ \pi }{3}+2 \pi n

Везде n принадлеждит Z
4,7(25 оценок)
Открыть все ответы
Ответ:
MrKemik
MrKemik
24.02.2023

                            профессия 

если я бы был( была ) космонавтом я бы весь мир увидел(увидела) . я , наверное ,   встретил(встретила)   бы инопланетянина или комету и астероид . как красива наша планета земля из космоса !  

короче , если по профессиям , то   по этому примеру .

                              животное

если я бы был(была) воробьём вот былы бы жизнь ! чирикаешь себе на здоровье , ешь и отдыхаешь . как - то раз приснился мне сон   :

будто я - воробей ! мечта сбылась   , но всё не такое как казалось . утром я ели нашёл еду , боролся с другими воробьями , мало отдыхал( отдыхала ) . да , конечно быть воробьём это плохо!

  короче , если по животным , то   по этому примеру .

если по взрослым , то профессий . 

а по другому я не знаю как

4,6(7 оценок)
Ответ:
linasokol03
linasokol03
24.02.2023

мой самый любимый писатель это сергей александрович пушкин.его рассказы, романы,повести меня вдохновляют и ещё они мне нарвится.и ваобще пушкин   мой любимый поэт с детства.я с радостью слушала его рассказы. пушкин не вероятно извесен во всём мире. он не пишет всегда об одном он пишет про разное..пушкин мне нравится тем что он неверояно прекрасен..прекрасен своими творчествами..говорят пушкин был не симпатичен но стоило произнести пушкину одно слово..он всех заинтересовывал. он есть и будет моим самым любимым писателем и поэтом..

4,6(18 оценок)
Это интересно:
Новые ответы от MOGZ: Математика
logo
Вход Регистрация
Что ты хочешь узнать?
Спроси Mozg
Открыть лучший ответ