М
Молодежь
К
Компьютеры-и-электроника
Д
Дом-и-сад
С
Стиль-и-уход-за-собой
П
Праздники-и-традиции
Т
Транспорт
П
Путешествия
С
Семейная-жизнь
Ф
Философия-и-религия
Б
Без категории
М
Мир-работы
Х
Хобби-и-рукоделие
И
Искусство-и-развлечения
В
Взаимоотношения
З
Здоровье
К
Кулинария-и-гостеприимство
Ф
Финансы-и-бизнес
П
Питомцы-и-животные
О
Образование
О
Образование-и-коммуникации
mariberrr
mariberrr
17.03.2020 05:57 •  Математика

Найдите угловой коэффициент касательной к графику функции f(x)=e^x - x в точке с абсциссой x0 =0

👇
Ответ:
Neder
Neder
17.03.2020

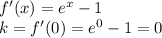
По геометрическому смыслу производной: f'(x_0)=k, мы имеем:

f'(x)=e^x-1\\ k=f'(0)=e^0-1=0

4,6(32 оценок)
Открыть все ответы
Ответ:
Coolboy1213
Coolboy1213
17.03.2020

почнемо з того, що у кожної людини власний світогляд. ту чи іншу річ вона бачить у своєму, так би мовити, світлі, зі своєї точки зору. і для кожного існує тільки один єдиний світ, але не завжди цей світ є таким, в якому вони хотіли б жити.

щодня ми стикаємося з купою протиріч, наприклад, любов і ненависть, зло і добро, життя і смерть, а також реальний світ і вигаданий. мені б хотілося звернутися до останньої пари слів. що означає реальний світ, а що означає нереальний? у якому жити краще? і до який волію я? …

почавши з самого дитинства мріяти про щось, до цих пір я не можу покинути цього неповторного стану душі. напевно, романтикам простіше уявити свій власний світ, зуміти його зберегти, облаштувати, полюбити його таким, який він є, нехай він навіть нереальний. уявіть собі світ, подібний казці, де живуть принци та принцеси, де все дихає свободою і любов’ю, де завжди тепло, затишно, де багато-багато друзів, які тебе розуміють і підтримують, де немає ні краплі зла, заздрості, зради. світ, в якому ти відчуваєш себе щасливим, а головне комусь потрібним. ось в такому світі мені хотілося б жити, але це лише початок моєї уяви… якщо зайти далі, мій світ стане ідеальним.

отже, він глибокий і неповторний. кожен з людей там являє собою особистість. у моєму світі не існує горя, кожен веселий, нікому не нудно, і ніколи не буває смутку, особливо сліз. не існує також і хвороб, які приносять біль і страждання, вбиваючи в людині самого себе. категорично виключені гроші. кожен має трудитися по совісті, при цьому любити те, що він робить. також в моєму світі немає ні президента, ні царя, і взагалі ніякого керівника. ніколи не буває воєн, адже всі один одного цінують, кожен в чомусь корисний, ніхто не хоче і не має права поставити себе вище іншого, тому що в моєму світі торжествує справедливість. немає брехні, є тільки правда, істина. тут люди звертають увагу на душу, на серце іншої людини, а не на зовнішність або ж його приналежність. всі люди в моєму світі талановиті, всі вміють писати вірші, багато вміють співати і створювати прекрасну музику, яка приносить тільки гармонію і спокій, тільки задоволення і насолоду. я б хотіла жити в світі, в якому немає одноманітності, а кожне подія насичена масою емоцій, причому тільки позитивних. кожен день новий і являє собою незабутню пригоду. таким чином жити стає набагато цікавіше.

світ здається барвистим, коли у людини відмінний настрій, коли він йде по вулиці і з його обличчя не сходить чарівна усмішка, і все навколо цвіте і пахне найприємнішими запахами на світі, а перехожі бачать це все і радіють разом з ним. внутрішній стан душі завжди формує саме той світ, який ти хочеш бачити, і яким він тобі уявляється. якщо ж твоя душа співає, то і життя прекрасне, і більше нічого не потрібно, існує тільки прагнення бути щасливим.

було б чудово, якби люди навчилися розуміти один одного, поступатися в чомусь, навчилися прощати і бачити в усьому тільки хороше, і знати, що все в цьому світі залежить тільки від тебе, від твого бажання, від наполегливості до самовдосконалення . всі ми дуже близькі до цього, але постійно щось заважає нам відкрити в собі ті якості, які заховані занадто глибоко в нас, щось заважає нам в тій чи іншій ситуації перебороти себе і зробити іноді щось, чим інші могли б пишатися, чим можна захоплюватися, за що можна полюбити.

у кожному з нас існує світ, про який ми навіть не підозрюємо, і не намагаємося знайти. ми бачимо те, чого насправді немає, і ми створюємо це самі, не замислюючись. ми рушимо всі наші мрії власноруч, не здогадуючись про наслідки. неможливо відповісти на такі риторичні питання, як: «що правильно, а що ні, бути чи не бути? » але завжди є право вибору, і воно тільки за нами. ми – вершителі своїх доль, які подарував нам бог. ми живі, а значить, у нас є ще шанс все виправити, адже часу у нас достатньо.

що стосується поставленої теми, про те, в якому ж світі мені все-таки хотілося б жити, то я скажу, що в тому світі, в якому я щаслива, в якому мене люблять, і в якому я люблю. не важливо, як він виглядає, не має значення, чого там більше. я бачу цей світ добрим, світлим і чистим, справжнім, але, на жаль, нереальним. він існує тільки в моїй свідомості, в моїй голові. але ж раз я його бачу, я не втрачаю надії, що все це колись стане реальним. у моєму світі живуть і виживають тільки ті, хто щирий і чесний, хто не здатний на підлість, навіть у думках, хто не піддається спокусам, і вміє тримати себе гідно. такі люди сильні духом, а це також дуже важливо.

на закінчення мені б хотілося сказати, що я хочу жити в світі, повному любові і взаєморозуміння, світі без страху. світі, в якому є тільки високі почуття, які, ми смертні, деколи лише насилу можемо зрозуміти…

4,4(52 оценок)
Ответ:
lobanovartem2
lobanovartem2
17.03.2020
@san4uk_2011:@xxberrys.akk это он/она или нет?@san4uk_2011:@xxberrys.akk это он/она или нет?@san4uk_2011:@xxberrys.akk это он/она или нет?@san4uk_2011:@xxberrys.akk это он/она или нет?@san4uk_2011:@xxberrys.akk это он/она или нет?@san4uk_2011:@xxberrys.akk это он/она или нет?@san4uk_2011:@xxberrys.akk это он/она или нет?@san4uk_2011:@xxberrys.akk это он/она или нет?@san4uk_2011:@xxberrys.akk это он/она или нет?@san4uk_2011:@xxberrys.akk это он/она или нет?@san4uk_2011:@xxberrys.akk это он/она или нет?@san4uk_2011:@xxberrys.akk это он/она или нет?@san4uk_2011:@xxberrys.akk это он/она или нет?@san4uk_2011:@xxberrys.akk это он/она или нет?@san4uk_2011:@xxberrys.akk это он/она или нет?@san4uk_2011:@xxberrys.akk это он/она или нет?
4,4(82 оценок)
Это интересно:
logo
Вход Регистрация
Что ты хочешь узнать?
Спроси Mozg
Открыть лучший ответ