М
Молодежь
К
Компьютеры-и-электроника
Д
Дом-и-сад
С
Стиль-и-уход-за-собой
П
Праздники-и-традиции
Т
Транспорт
П
Путешествия
С
Семейная-жизнь
Ф
Философия-и-религия
Б
Без категории
М
Мир-работы
Х
Хобби-и-рукоделие
И
Искусство-и-развлечения
В
Взаимоотношения
З
Здоровье
К
Кулинария-и-гостеприимство
Ф
Финансы-и-бизнес
П
Питомцы-и-животные
О
Образование
О
Образование-и-коммуникации
kyrenkovalena8
kyrenkovalena8
16.07.2020 14:05 •  Математика

Решите уравнение для 6 класса 5-(1 1/2у + 1/3)*6=2 1/3у-5 1/2

👇
Ответ:
ШкОлА1337228
ШкОлА1337228
16.07.2020
5-(3/2у+1/3)*6=2 1/3у-5 1/2
5-9у-2=2 1/3у-5 1/2
3-9у=2 1/3у-5 1/2
-9у-2 1/3у= -5 1/2-3
-11 1/3у= -8 1/2
у= -8 1/2:(-11 1/3)
у= - 17/2:(-34/3)
у= -17/2*(-3/34)
у= 3/4
4,6(15 оценок)
Ответ:
Messi294
Messi294
16.07.2020
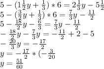
5-(1 \frac{1}{2}y+ \frac{1}{3})*6=2 \frac{1}{3}y-5 \frac{1}{2} \\ 5-( \frac{3}{2}y+ \frac{1}{3})*6= \frac{7}{3}y- \frac{11}{2} \\ 5- \frac{18}{2}y- \frac{6}{3} = \frac{7}{3}y- \frac{11}{2} \\ - \frac{18}{2}y- \frac{7}{3}y=- \frac{11}{2}+2-5 \\ - \frac{20}{3}y=- \frac{17}{2} \\ y=- \frac{17}{2}*(- \frac{3}{20} \\ y= \frac{51}{60}
4,7(11 оценок)
Открыть все ответы
Ответ:
morozhenka05
morozhenka05
16.07.2020
Пускай расстояние между пунктами А и В равно 1
 Путь = скорость * время или S = v * t
 v = S / t, 
тогда  v автобуса = 1 / 5, 
а v грузовика = 1 / 7.5 = 1 / (15/2) = 2 / 15

Так как выезжают они одновременно, то в пути, до встречи, будут ехать одинаковое количество времени t, тогда
Автобус проедет (1/5) * t - часть пути, которую проехал автобус
Грузовик проедет (2/15) * t - часть пути которую проедет грузовик, 
А вместе они проедут весь путь, так как встретятся по условию, тогда

t/5 + 2t/15 = 1

3t/15 + 2t/15 = 1

5t = 15

t = 3 часа

ответ: встретятся через 3 часа.
4,6(13 оценок)
Ответ:
duyquhuseynli11
duyquhuseynli11
16.07.2020
Пускай расстояние между пунктами А и В равно 1
 Путь = скорость * время или S = v * t
 v = S / t, 
тогда  v автобуса = 1 / 5, 
а v грузовика = 1 / 7.5 = 1 / (15/2) = 2 / 15

Так как выезжают они одновременно, то в пути, до встречи, будут ехать одинаковое количество времени t, тогда
Автобус проедет (1/5) * t - часть пути, которую проехал автобус
Грузовик проедет (2/15) * t - часть пути которую проедет грузовик, 
А вместе они проедут весь путь, так как встретятся по условию, тогда

t/5 + 2t/15 = 1

3t/15 + 2t/15 = 1

5t = 15

t = 3 часа

ответ: встретятся через 3 часа.
4,4(25 оценок)
Это интересно:
Новые ответы от MOGZ: Математика
logo
Вход Регистрация
Что ты хочешь узнать?
Спроси Mozg
Открыть лучший ответ