М
Молодежь
К
Компьютеры-и-электроника
Д
Дом-и-сад
С
Стиль-и-уход-за-собой
П
Праздники-и-традиции
Т
Транспорт
П
Путешествия
С
Семейная-жизнь
Ф
Философия-и-религия
Б
Без категории
М
Мир-работы
Х
Хобби-и-рукоделие
И
Искусство-и-развлечения
В
Взаимоотношения
З
Здоровье
К
Кулинария-и-гостеприимство
Ф
Финансы-и-бизнес
П
Питомцы-и-животные
О
Образование
О
Образование-и-коммуникации
xxxxxxxxxxxxxxx228
xxxxxxxxxxxxxxx228
24.10.2022 00:24 •  Математика

Составь выражения: а) у лены х открыток, а у саши на 12 открыток больше. во сколько раз у лены меньше открыток , чем у саши? б) автобус проехал у км за 3 ч. сколько километров он пройдет за 5 ч? в) папа купил 2 кг яблок по цене а р.и 4 кг слив по цене б р. сколько рублей стоит вся покупка ? г) длина прямоугольника к м, а ширина составляет 4/5(это дробь) длины. чему равна площадь прямоугольника?

👇
Ответ:
ARTEMNET
ARTEMNET
24.10.2022
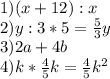
1) (x+12) : x\\
2) y : 3 * 5 = \frac{5}{3}y\\
3) 2a+4b\\
4) k * \frac{4}{5}k = \frac{4}{5}k^2
4,6(7 оценок)
Открыть все ответы
Ответ:
Sofa8412
Sofa8412
24.10.2022

Наибольшая сумма 26. Её можно получить с не менее 5 кубиков, т.к. 4 кубика могут дать максимальное число 6*4=24.

Попробуем с кубиков получать указанные числа, причем выпадающие числа при одном броске - разные.

26 = 6+6+6+6+2

21 = 5+5+5+1+5

20 = 4+4+4+5+3

19 = 3+3+3+4+6

17 = не можем представить.

Можно доказать, что с кубиков нельзя составить нужные суммы.

Попробуем расписать суммы для 6 кубиков.

26= 6+6+6+2+2+4

Найдем сумму чисел: 17+19+20+21+26=103

Т.к. кубиков 5, то шестерка может выпасть только 5 раз, и так же остальные числа.

Имея 5 кубиков и делая 5 бросков, можно максимально набрать очков

(6 + 5 + 4 + 3 + 2)*5 = 100 очков, это меньше, чем 103.

Значит, надо 6 кубиков.

4,8(67 оценок)
Ответ:
Лейля16
Лейля16
24.10.2022

Наибольшая сумма 26. Её можно получить с не менее 5 кубиков, т.к. 4 кубика могут дать максимальное число 6*4=24.

Попробуем с кубиков получать указанные числа, причем выпадающие числа при одном броске - разные.

26 = 6+6+6+6+2

21 = 5+5+5+1+5

20 = 4+4+4+5+3

19 = 3+3+3+4+6

17 = не можем представить.

Можно доказать, что с кубиков нельзя составить нужные суммы.

Попробуем расписать суммы для 6 кубиков.

26= 6+6+6+2+2+4

Найдем сумму чисел: 17+19+20+21+26=103

Т.к. кубиков 5, то шестерка может выпасть только 5 раз, и так же остальные числа.

Имея 5 кубиков и делая 5 бросков, можно максимально набрать очков

(6 + 5 + 4 + 3 + 2)*5 = 100 очков, это меньше, чем 103.

Значит, надо 6 кубиков.

4,6(94 оценок)
Это интересно:
Новые ответы от MOGZ: Математика
logo
Вход Регистрация
Что ты хочешь узнать?
Спроси Mozg
Открыть лучший ответ