М
Молодежь
К
Компьютеры-и-электроника
Д
Дом-и-сад
С
Стиль-и-уход-за-собой
П
Праздники-и-традиции
Т
Транспорт
П
Путешествия
С
Семейная-жизнь
Ф
Философия-и-религия
Б
Без категории
М
Мир-работы
Х
Хобби-и-рукоделие
И
Искусство-и-развлечения
В
Взаимоотношения
З
Здоровье
К
Кулинария-и-гостеприимство
Ф
Финансы-и-бизнес
П
Питомцы-и-животные
О
Образование
О
Образование-и-коммуникации
nysha046
nysha046
29.09.2021 10:33 •  Математика

Розв'яжіть систему нерівностей где стрелочки это больше или равно(х+6)(х-1)-x(x+3)< 16 {x+2/4 -x< 5

👇
Ответ:
Pashayka
Pashayka
29.09.2021

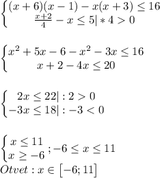
\begin{Bmatrix}(x+6)(x-1)-x(x+3)\le 16\\\frac{x+2}{4}-x\le 5|*40\end{matrix}\\\\\\\begin{Bmatrix}x^2+5x-6-x^2-3x\le 16\\x+2-4x\le 20\end{matrix}\\\\\\\begin{Bmatrix}2x\le 22|:20\\-3x\le 18|:-3<0\end{matrix}\\\\\\\begin{Bmatrix}x\le 11\\x\ge -6\end{matrix};-6\le x\le 11\\Otvet:x\in \begin{bmatrix}-6;11\end{bmatrix}

4,7(95 оценок)
Открыть все ответы
Ответ:
onaleman
onaleman
29.09.2021
Тицы — это теплокровные животные. Их характерные признаки – тело, покрытое перьями, и передние конечности, превращенные в крылья, которые в большинстве случаев служат для полета. Кроме того, у них нет зубов, а вместо них имеется клюв с ороговевшим покровом. Птицы появились на Земле примерно 130 миллионов лет назад. В наши дни их можно встретить во всех уголках Земли, от полюсов до пустынь.Все тело, кроме конечностей и клюва покрыто перьями. Они служат для обеспечения полета и для защиты животного от жары и холода.

Перо

Перья, как и волосы, это структуры, образованные кожей.Скелет птицы

Кости скелета птиц имеют характерные особенности. Одна из них – развитие грудины в особый выступ – киль. От его величины зависит мощность полета. Другие особенности строения птиц состоят в том, что многие кости у них полые, а также имеется система воздушных мешков – это выросты легких, заполняющие пространство между внутренними органами. Все это сильно облегчает общий вес птицы.итание и образ жизни.

Питание птиц очень многообразно: пищей могут служить фрукты и зерно, насекомые, грызуны, другие птицы, а также падаль. Некоторые едят как растения, так и маленьких животных, но есть и такие, которые употребляют только определенную пищу.
Что касается образа жизни, то есть птицы, которые не летают и всю жизнь проводят на земле, например, страусы; не умеют летать и пингвины, но зато они прекрасно плавают. Большинство же птиц летают, и у кого-то это получается лучше, а у кого-то хуже. Альбатросы, например, почти всю жизнь проводят в полете. А некоторые летают только в случае грозящей опасности, как это делают куропатки. Многие птицы из районов с холодным климатом с наступлением холодов пролетают тысячи километров до теплых краев, так как там, где они живут, они не смогли бы найти в это время пищу. К себе домой они возвращаются, как только вновь там появятся условия, необходимые им для жизни и продления рода. Этих птиц называют перелетными, примером могут служить аисты и гуси.азмножение.

У птиц внутреннее оплодотворение. Они строят гнезда разной степени сложности, откладывают яйца, которые, как правило, сами и высиживают, а затем ухаживают за потомством. Многие виды исполняют брачные танцы на земле или в воздухе до того, как образовать пару. У одних видов птенцы рождаются слепыми и голыми, получают пищу от родителей и остаются в гнезде до того времени, пока не смогут жить самостоятельно. Это птенцы гнездовых птиц. Примером могут служить орлы. У других видов птенцы вполне развитые и уже через несколько часов после рождения следовать за родителями и добывать пищу самостоятельно. Это птенцы выводковых птиц. Примером могут служить утки.Многие виды птиц издают очень приятные для человеческого уха звуки. Пение служит птицам для общения друг с другом (для того, чтобы образовать пару, обозначить свою территорию и т.п.)Полет.
Птицы перемещаются по воздуху двумя совершая активный полет, то есть постоянно взмахивая крыльями, и пассивный полет, паря в воздухе. Для первого у них есть мощные мышцы, которые сходятся в киле. Для второго они используют восходящие воздушные потоки, чтобы подняться вверх, а затем плавно перемещаются, широко раскинув крылья.
4,6(62 оценок)
Ответ:
История развития сердца как органа. В ходе истории, сердце как орган впервые появляется у моллюсков и членистоногих, в виде пульсирующего органа, из которого кровь поступает в пространства между другими органами. Замкнутая сосудистая система с однокамерным сердцем имеется у всем нам известных кольчатых червей. У позвоночных происходит дальнейшее совершенствование сердца и кровеносной системы. Рыбы имеют двухкамерное сердце с предсердием и желудочком, от которого отходит особая артерия, проводящая кровь к жабрам, в которых кровь обогащается кислородом. У амфибий в связи с образованием легких, предсердие разделяется на два, и сердце становится трехкамерным. От правого предсердия отходит легочная артерия, проводящая кровь к легким. От них артериальная кровь по легочной вене идет в правое предсердие. Желудочек отдает смешанную кровь ко всему телу. А у рептилий, птиц и млекопитающихся сердце четырёхкамерное. Видно, что развитие сердца идет от простейшего однокамерного до весьма сложного четырёхкамерного, в зависимости от общей сложности организмы. Ясно, что земляному червю не нужно сложное сердце, в то время как человек с сердцем червя вряд ли выживет. Однако необходимо отметить одну особенность. Человеческий зародыш проходит в своем развитии в утробе матери различные стадии развития, и не обладает сразу нормальным сердцем. Его сердце проходит «процесс эволюции».
4,7(62 оценок)
Это интересно:
logo
Вход Регистрация
Что ты хочешь узнать?
Спроси Mozg
Открыть лучший ответ