М
Молодежь
К
Компьютеры-и-электроника
Д
Дом-и-сад
С
Стиль-и-уход-за-собой
П
Праздники-и-традиции
Т
Транспорт
П
Путешествия
С
Семейная-жизнь
Ф
Философия-и-религия
Б
Без категории
М
Мир-работы
Х
Хобби-и-рукоделие
И
Искусство-и-развлечения
В
Взаимоотношения
З
Здоровье
К
Кулинария-и-гостеприимство
Ф
Финансы-и-бизнес
П
Питомцы-и-животные
О
Образование
О
Образование-и-коммуникации
FreddyGa
FreddyGa
11.11.2021 20:14 •  Математика

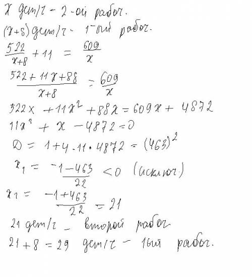
На изготовление 522 деталей первый рабочий затратил на 11 часов меньше чем второй рабочий на изготовление 609 деталей. известно что первый рабочий за час делает на 8 деталей больше чем второй. сколько деталей за час делает первый? с решением желательно, заранее

👇
Ответ:
rezkova
rezkova
11.11.2021
Вот вроде, надеюсь, верно
На изготовление 522 деталей первый рабочий затратил на 11 часов меньше чем второй рабочий на изготов
4,8(20 оценок)
Открыть все ответы
Ответ:
makcafonin
makcafonin
11.11.2021
Былины получили свое название от слов "быль", "было". В них известные древние авторы рассказывали о событиях, которые действительно происходили: о сражениях с врагами, о победах русских воинов. Былины не складывались сами собой, без авторов. Их сочиняли талантливые люди, но не записывали. Возникли былины во времена Киевской Руси. В то время на Киевскую Русь нападали кочевники. Среди защитников были такие, которые выделялись храбростью и удалью. Это богатыри. Они любили родную землю, стояли на страже ее границ, в любую минуту опасности приходили на своему народу его от унижения и разорения.
4,5(95 оценок)
Ответ:
enikeevanellya
enikeevanellya
11.11.2021
В произведении половина четных (делящихся на 2) чисел.
Умножение четного числа на 5 дает на конце 0.
Считаем сколько пятерок в произведении
5; 10=2·5; 15=3·5; 20=4·5; 25=5·5; 30=5·6; 35=5·7; 40=5·8; 45=5·9; 50=2·5·5; 55=5·11; 60=5·12; 65=5·13; 70=5·14; 75=3·5·5; 80=5·16; 85=5·17; 90=5·18; 95=5·19; 100=4·5·5; 105=5·21;110=5·22; 115=5·23;
120=5·24;  125=5·5·5; 130=5·26; 135=5·27; 140=5·28; 145=5·29; 150=5·5·6; 155=5·31; 160=5·32; 165=5·33; 170=5·34; 175=5·5·7; 180=5·36; 185=5·37; 190=5·38; 195=5·39; 200=5·5·8;
205=5·41; 210=5·42; 215=5·43; 220=5·44; 225=5·5·9; 230=5·46;
235=5·47; 240=5·48; 245=5·49; 250=5·5·5·2; 255=5·51; 260=5·52; 265=5·53; 270=5·54; 275=5·5·11; 280=5·56;285=5·57.

Итак, в числах
5; 10; 15; 20;  30; 35; 40; 45;  55; 60; 65; 70;  80; 85; 90; 95; 105;110; 115; 120; 130; 135; 140; 145;  155; 160; 165; 170; 180; 185; 190; 195;
205; 210; 215; 220;  230;235; 240; 245; 255; 260; 265; 270;  280;285.
пятерка встречается 1 раз, всего 46 раз
В числах
25; 50; 75; 100; 150; 175; 200; 225; 275
по 2 раза, всего 18 раз.
В числах
125 и 250
по 3 раза, всего 6 раз.
Итого 46+18+6=70 раз,
значит в произведении 70 нулей.
О т в е т. 70 нулей.
4,8(85 оценок)
Это интересно:
Новые ответы от MOGZ: Математика
logo
Вход Регистрация
Что ты хочешь узнать?
Спроси Mozg
Открыть лучший ответ