М
Молодежь
К
Компьютеры-и-электроника
Д
Дом-и-сад
С
Стиль-и-уход-за-собой
П
Праздники-и-традиции
Т
Транспорт
П
Путешествия
С
Семейная-жизнь
Ф
Философия-и-религия
Б
Без категории
М
Мир-работы
Х
Хобби-и-рукоделие
И
Искусство-и-развлечения
В
Взаимоотношения
З
Здоровье
К
Кулинария-и-гостеприимство
Ф
Финансы-и-бизнес
П
Питомцы-и-животные
О
Образование
О
Образование-и-коммуникации
mirst14
mirst14
19.03.2023 09:06 •  Математика

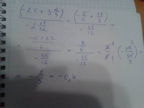
Числа написанные словами - обычные дроби (-2.5 + три целых две третьих) : (- две целых одиннадцать двенадцатых) найди значение выражения: пять двенадцатых *(4.8а - 1.2в) - 3.6( четыре девятых а - одна четвертая в) если а+в = -2

👇
Ответ:
kachakomba
kachakomba
19.03.2023
 вот))) там все не так сложно)))
Числа написанные словами - обычные дроби (-2.5 + три целых две третьих) : (- две целых одиннадцать д
4,8(85 оценок)
Открыть все ответы
Ответ:
lox54
lox54
19.03.2023

ответ: 4х+3у=7

Пошаговое объяснение:

В точке пересечения линии с осью ОХ у=0

Тогда х=7/4.

Мы уже имеем координаты одной точки искомой линии: (7/4; 0). Мы знаем, что для построения линии необходимо иметь две точки. Вторую точку мы можем выбрать произвольно. Пусть это будет (1; 1).

Ищем уравнение искомой линии в виде

у=mx+b, где m - это тангенс угла наклона прямой линии, а b - это ордината точки её пересечения с осью OY.

Находим m:

m=(1-0)/(1-7/4)=-4/3

Уравнение искомой линии принимает

вид:

у=-4/3 х + b

Подставляем координаты точки (1; 1), чтобы найти b:

1=-4/3+b => b=7/3

Теперь имеем:

у=-4/3 х + 7/3

Преобразуем:

4х+3у=7

4,7(25 оценок)
Ответ:
haka228
haka228
19.03.2023
Deutschland liegt In Europa. Zu den Nachbarstaaten Deutschlands gehören Polen, Tschechei, Österreich, die Schweiz, Frankreich, Luxembourg, Belgien, Holland und Dänemark. Deutschland ist eine Bundesrepublik . Das deutsche Parlament heißt Bundestag. Das deutsche Regierungsoberhaupt heißt der Bundeskanzler. Die Bundesrepublik Deurschland besteht aus 16 Bundesländer. Die Hauptstadt der Bundesrepublik Deutschland ist Berlin. Sie ist zugleich ein Bundesland, ebenso wie Bremen und Hamburg. Das Symbol von Berlin ist ein Bär. Die anderen Bundesläneer haben auch ihre Hauptstädte . Die Hauptstadt von Schleswig-Holstein ist Kiel. Die Hauptstadt von ... (zählt bitte alle Bundesländer auf ) ist ... . Die Landschaft Deutschlands ist reich an Bergen , Flüssen und Wälder. Zu den höchsten Bergen Deutschlands gehören Zugspitze, Schneefernerkopf und Mittlere Wetterspitze. Die größten Flüsse sind Donau, Rhein und Elbe. Als die schönsten Ferinorte sind folgende Gegenden bekannt : die Nordsee, Erzgebirge und Allgäu. Mit vielen deutschen Gegenden sind schöne Sagen und Legenden verbunden. Das zeigen die Unterschriften zu den Bilden .
Viele deutsche Städte sind reich an Sehenswürdigkeiten . In Berlin sind das z. B. Berliner Dom, Brandenburger Tor, Reichstag. In Dresden Frauenkirche, Semperoper, Kathedrale. In Köln der Kölner Dom. In München Asamkirche. Viele deutsche Wissenschaftler und Erfinder sind weltbekannt , z. B. Robert Bosch, Johann Carl Friedrich Gauß, Heinrich Hertz. Zu den weltbekanntesten deutschen Dichtern und Schriftstellern gehören Göthe, und Schiller. Auch viele deutsche Musiker und Komponisten sind weltberühmt . Das sind Richerd Wagner und Johann Sebastian Bach
4,7(99 оценок)
Это интересно:
Новые ответы от MOGZ: Математика
logo
Вход Регистрация
Что ты хочешь узнать?
Спроси Mozg
Открыть лучший ответ