М
Молодежь
К
Компьютеры-и-электроника
Д
Дом-и-сад
С
Стиль-и-уход-за-собой
П
Праздники-и-традиции
Т
Транспорт
П
Путешествия
С
Семейная-жизнь
Ф
Философия-и-религия
Б
Без категории
М
Мир-работы
Х
Хобби-и-рукоделие
И
Искусство-и-развлечения
В
Взаимоотношения
З
Здоровье
К
Кулинария-и-гостеприимство
Ф
Финансы-и-бизнес
П
Питомцы-и-животные
О
Образование
О
Образование-и-коммуникации
SashaLas
SashaLas
23.12.2022 05:01 •  Математика

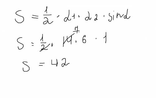
Как найти площадь ромба, если его диагонали равны 14 и 6 см.

👇
Ответ:
kirya451
kirya451
23.12.2022
Очень очень лёгкое задание :)
P/S : sin90= 1 :)
Как найти площадь ромба, если его диагонали равны 14 и 6 см.
4,5(77 оценок)
Ответ:
dennnn2222222
dennnn2222222
23.12.2022
14*6/2=42 перемножаем диагонали и делим на 2 формула
4,5(38 оценок)
Открыть все ответы
Ответ:
zhenya4546
zhenya4546
23.12.2022
  1.7б,6зв.
  2.зубки(зупк»и)
3.покой
4.по/ходы, по/леты-в приставке
 На горк-е, под горк-ой, на дач-е-окончание
К земл/е-в корне Лип-ов-ый-в суффиксе
5. книга о природе
6. 2 склон.п.п.
7.разные окончания
8.автомобиль-2склон. В пред.падеже пишется-е   Ладонь-3 скл. Пишется-и 9.земля
10.о тополе
11. Согласуется с сущ. в роде.числе и падеже
12. о зимнем
13. о пасмурной погоде
14. синее море
15не пишет, не возражает, не спорит
16. глагол
17. держим
18. предложение может не иметь второст.членов
19.в гостях хорошо, а дома…
20.полилась с неба, зазвенела над землей….
21. увидеть  
22. наречие
23. у тебя
24. Ветер крутится в верхушках деревьев/ хлещет проливной дождь/ мы пробуем укрыться под старой ольхой /молния на мгновение озаряет всё вокру/г мы покидаем убежище и выходим из леса. -5 предлож.
4,7(90 оценок)
Ответ:
Vadimka69
Vadimka69
23.12.2022
Наскальные рисунки в России и Скандинавии свидетельствуют о том, что за тысячи лет до нашей эры лыжи уже использовались живущими там народами.Интересен рисунок, найденный на берегу Залавруга (пересохший приток реки Выг) в России. Созданный 2000—1500 лет до н. э., он изображает сцену охоты лыжников, где рядом со следами лыж идут круглые точки, которые, как предполагают, являются следами лыжных палок.В Невельском районе Псковской области на берегу озера Сенница расположена деревня Дубокрай, известная древнейшими археологическими находками. На дне озера рядом с деревней в 1982 году А. М. Микляевым и другими ленинградскими археологами была найдена древнейшая лыжа, дата изготовления которой была оценена в 2620—2160 лет до н. э., сделана из вяза.
На юге Кольского полуострова использовали лыжи неравной длины, причем короткой лыжей отталкивались, используя для равновесия одну палку, в то время как древние жители Скандинавии передвигались на лыжах одинаковой длины. Основатель Норвегии легендарный Нор пришел к фьордам по «хорошей лыжне».Лыжи были изобретены северными народами в процессе миграции в области с холодным климатом и долгой зимой. Для выживания людям было необходимо передвигаться по снегу, порой очень глубокому(более метра). Скорее всего, сначала были изобретены снегоступы — при увеличивающие площадь опоры ног и тем самым предотвращающие проваливание под снег. Известны народы севера, на момент открытия их исследователями пользовавшиеся снегоступами, но не знавшие о лыжах. В процессе развития этого изобретения и появились лыжи. Появившиеся, судя по археологическим находкам, на Алтае и в районе озера Байкал лыжи-снегоступы были широко распространены до XVI века нашей эры. Но к этому времени уже использовались и лыжи скользящие. Епископ Олаф Великий в своей изданной в 1555 году в Риме книге «История северных народов» так описывал приемы зимней охоты лопарей: «Те из них, кто на лыжах ступает, служат загонщиками, те, кто скользит, бьют дубинами оленей, волков и даже медведей, потому что свободно их догоняют. Звери не могут быстро бежать по глубокому, проваливающемуся снегу и после утомительной и долгой погони делаются жертвой легко бегущего на лыжах человека»[5].

Второй возможный вариант возникновения лыж — их происхождение от саней. Лыжи похожи на облегчённые санные полозья.

Первоначально лыжи использовались по прямому назначению — для передвижения по глубокому снегу в лесу во время охоты, военных действий в зимних условиях и т. п.. Это и определяло их тогдашние пропорции — они были короткие (150 см в среднем) и широкие (15-20 см), удобные скорее для переступания, чем для скольжения. Такие лыжи сейчас можно увидеть в восточных районах РФ, где ими пользуются рыбаки и охотники. Иногда лыжи подбивались камусом (шкурой с ноги оленя), чтобы облегчить передвижение вверх по склону.
4,8(6 оценок)
Это интересно:
Новые ответы от MOGZ: Математика
logo
Вход Регистрация
Что ты хочешь узнать?
Спроси Mozg
Открыть лучший ответ