М
Молодежь
К
Компьютеры-и-электроника
Д
Дом-и-сад
С
Стиль-и-уход-за-собой
П
Праздники-и-традиции
Т
Транспорт
П
Путешествия
С
Семейная-жизнь
Ф
Философия-и-религия
Б
Без категории
М
Мир-работы
Х
Хобби-и-рукоделие
И
Искусство-и-развлечения
В
Взаимоотношения
З
Здоровье
К
Кулинария-и-гостеприимство
Ф
Финансы-и-бизнес
П
Питомцы-и-животные
О
Образование
О
Образование-и-коммуникации
taskarin02
taskarin02
21.05.2021 15:46 •  Математика

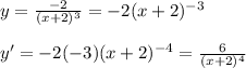
Найти производную,если можно,с подробным решением -2/(x+2)^3

👇
Ответ:
mariyavlasova2
mariyavlasova2
21.05.2021
y=\frac{-2}{(x+2)^3}=-2(x+2)^{-3}\\\\y'=-2(-3)(x+2)^{-4}=\frac{6}{(x+2)^4}
4,4(80 оценок)
Открыть все ответы
Ответ:
diaabd150ozrpt6
diaabd150ozrpt6
21.05.2021

 

Русское слово «царь» – это сокращенное старославянское слово «цесарь», происходящее от имени древнеримского диктатора Юлия Цезаря, ставшее в Римской империи одним из титулов правителя государства.

Это понятие было известно на Руси еще задолго до того, как Русское го-сударство в 1547 г. стало царством. В Древней Руси царями называли библей-ских правителей, римских и византийских императоров, императоров Священ-ной Римской империи. Иногда царями называли русских князей. Первый из-вестный случай такого рода относится к 1054 г.: в этом году на стене Софий-ского собора в Киеве была сделана сохранившаяся до наших дней надпись об «успении (т.е. смерти) царя нашего». Под «нашим царем» имелся в виду киев-ский князь Ярослав Мудрый. Однако это был не официальный титул, а просто почетное наименование, которое должно было подчеркнуть славу и могущество русских князей.

После монголо-татарского нашествия и установления ига с середины XIII в. царями на Руси стали называть монгольских ханов, а потом правителей Золо-той Орды. Постепенно укрепляется представление о царе как о могуществен-ном правителе сильного, независимого государства. При этом византийских императоров также продолжали называть царями, поэтому с понятием «царь» оказались неразрывно связаны византийские представления об императоре как о помазаннике Божьем, ответственном только перед Богом, а не перед смерт-ными людьми, важнейшей задачей которого является соблюдение чистоты «ис-тинной» веры. Исключительную популярность приобрели на Руси сочинения византийского богослова VI в. Агапита, писавшего: «Плотским существом ра-вен всем человекам царь, властью же сановною подобен Богу вышнему, так как не имеет он на земле никого, более высокого, чем он».

По мере развития объединительного процесса в русских землях и начала борьбы против ордынского ига все чаще русские князья начинают именоваться царями. Так, еще в XIV в. «Повести о Михаиле Тверском», посвященной муче-нической гибели этого князя в Орде, он называется царем. А уже в начале XV в. составляется «Слово о житии и преставлении великого князя Дмитрия Ивано-вича, царя русского».

Особенно часто стали называть московских великих князей царями после захвата Константинополя турками в 1453 г. Очевидно, в это время на Руси рас-пространяется представление о преемственности Русского государства и вели-кой православной империи, которые впоследствии повлияли на формирование теории «Москва – Третий Рим». С этим представлением связана и идея о право-славном царе, который должен в условиях, когда в мире осталась только одна держава – хранительница «истинной» православной веры, хранить ее в чистоте и непорочности.

Ростовский архиепископ Вассиан Рыло в своем послании Ивану III, напи-санном в 1480 г. во время «стояния на Угре», называя московского великого князя «великим Русских стран христианским царем», призывает его перестать повиноваться «богостудному и скверному самому называющемуся царю», т.е. татарскому хану Ахмату. Неизбежным следствием этого должна была стать мысль о формальном венчании московского великого князя на царство. Однако это произошло лишь в 1547 г.


 




.


4,7(4 оценок)
Ответ:
rudnevskaya2004
rudnevskaya2004
21.05.2021

Пошаговое объяснение:

1.2  б) m = n + 7

1.3  б)  x - 40 = 120 ; x = 120 + 40

1.4  б) 18 * 3 = 54 ; 50 * 3 = 150 ; 150 - 54 = 96 км

1.5 в) x + ( x / 3 ) = 84 ; x = 63 - на 1 волке, 63 / 3 = 21 - на 2 полке. 63 и 21

2.1 1) (453 + x) + 247 = 700 + x, при x = 209,  700 + 209 = 909

     2) (123 + y ) - 93 = 30 + y, при y  = 730 , 30 + 730 = 760

2.2

1)

x - 461 = 253

x = 253 + 461

x = 714

2)

73 - (13 +y) = 21

60 - y = 21

-y = 21 - 60

-y = -39

y = 39

3)

54 - (x - 19) = 31

73 - x = 31

-x = 31 - 73

-x = -42

x = 42

2.3 s = v * t ; s = 72 * 4 = 288 км

2.4  24 = a + b ; a = 24 - b , при b = 7 , a = 24 - 7 = 17 часов - продолжительность дня.

4,7(23 оценок)
Это интересно:
Новые ответы от MOGZ: Математика
logo
Вход Регистрация
Что ты хочешь узнать?
Спроси Mozg
Открыть лучший ответ