М
Молодежь
К
Компьютеры-и-электроника
Д
Дом-и-сад
С
Стиль-и-уход-за-собой
П
Праздники-и-традиции
Т
Транспорт
П
Путешествия
С
Семейная-жизнь
Ф
Философия-и-религия
Б
Без категории
М
Мир-работы
Х
Хобби-и-рукоделие
И
Искусство-и-развлечения
В
Взаимоотношения
З
Здоровье
К
Кулинария-и-гостеприимство
Ф
Финансы-и-бизнес
П
Питомцы-и-животные
О
Образование
О
Образование-и-коммуникации
avasjanom
avasjanom
10.08.2020 05:52 •  Математика

Найти производную функции y = 2 {x}^{3} - 4x + 5, и решить 2ое уравнение (или что это вообще) )​

👇
Ответ:
filanovich1984
filanovich1984
10.08.2020

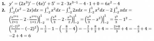
№ 2 - это обыкновенный определенный интеграл для формулы Ньютона-Лейбница.


Найти производную функции <img src=, и решить 2ое уравнение (или что это воо" />
4,7(38 оценок)
Ответ:
Shavelvasilisa
Shavelvasilisa
10.08.2020

2) все по правилам, их штук 5 самых основных, а 10-15 табличных надо бы заучить:

у'=6х²-4

3) вообще это найти определенный интеграл, действие обратное взятию производной, тоже пару десятков надо запомнить:

=S|от -2 до 1|х²dx - S|...|2xdx= (x³/3- x²)|...|=(1³/3- 1²) - ((-2)³/3-(-2)²)= 6

4,7(99 оценок)
Открыть все ответы
Ответ:
olgagolova2007
olgagolova2007
10.08.2020
Осетровые-стерлядь
Крупные рыбы-налим,судак,щука,нельма,таймень,
Очень распространенные-это окунь,карась, лещ
Самый большой-это сибирский осетр,он встречается даже более 2м 
Животные-встречается олень,косуля,лось
Самый крупный хищник- бурый медведь!По берегам Оби встречаются бобры
Гуси,чайки,утки,кулики,выпь,цапля.,чернзобая гагара,так же есть лебеди!Есть лягушки,жабы,тритоны.
Растения-это березы,сосны,осины,кедр,пихта,боярышник.Встречаются и еще лекарственные растения ,-зверобой, кровохлебка,душица,адонис,медуница ...
4,7(41 оценок)
Ответ:
Oles1115
Oles1115
10.08.2020
На западных склонах Кавказа обитает маленькая лягушка кокой. В её кожных железах вырабатывается яд, который при попадании в кровь вызывает практически мгновенный паралич и смерть. Это вещество — батрахотоксин — самый сильный яд животного происхождения. В пределах России встречается около 1500 видов ядовитых животных: самые известные пчелы,змеи, пауки и т.п.
На территории России наверное самыми ядовитыми из животного мира - кобра и гюрза (бывшие республики СССР -Средняя Азия, Азербаджайн, Дагестан). Паук Каракурт -вдова степная, ядовитый. На животных, людей не нападает, если случайно на него не наступить, потревожить. Яд самки смертелен (самец безопасен).
4,5(66 оценок)
Новые ответы от MOGZ: Математика
logo
Вход Регистрация
Что ты хочешь узнать?
Спроси Mozg
Открыть лучший ответ