М
Молодежь
К
Компьютеры-и-электроника
Д
Дом-и-сад
С
Стиль-и-уход-за-собой
П
Праздники-и-традиции
Т
Транспорт
П
Путешествия
С
Семейная-жизнь
Ф
Философия-и-религия
Б
Без категории
М
Мир-работы
Х
Хобби-и-рукоделие
И
Искусство-и-развлечения
В
Взаимоотношения
З
Здоровье
К
Кулинария-и-гостеприимство
Ф
Финансы-и-бизнес
П
Питомцы-и-животные
О
Образование
О
Образование-и-коммуникации
alinakuzmich324
alinakuzmich324
17.11.2022 13:39 •  Математика

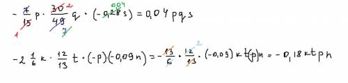
Выражение и подчеркните его коэффициент а) -0,6a*(-3b)= б) -7/15p*30/49q*(-0.28s)= в) -2 1/6k*12/13t*(-p)*(-0.09n)=

👇
Ответ:
koroleva1858
koroleva1858
17.11.2022
А) -0,6a*(-3b)=1,8 ab
б) -7/15p*30/49q*(-0.28s)=0.04pqs
в) -2 1/6k*12/13t*(-p)*(-0.09n)=-0.18ktpn
Выражение и подчеркните его коэффициент а) -0,6a*(-3b)= б) -7/15p*30/49q*(-0.28s)= в) -2 1/6k*12/13t
4,7(44 оценок)
Открыть все ответы
Ответ:
54783
54783
17.11.2022

1/3 это одна и любая из трех равновеликих частей, которые получаются при делении чего-то целого (или условно целого, как то куча яблок) на три части. Равновеликость частей это обязательное требование, так как в противном случае полученная часть не будет 1/3.

Переводя (треть) 1/3 в десятичную дробь получаем 0,333333 это периодическое число, оно бесконечное, его округляют 0.3 (3).

Переводя одну треть в проценты получаем 33.3%

Конвертер найти треть любого числа. Например треть числа 18 равна 6 или наоборот, третью какого числа является 210, ответ 630.

4,7(59 оценок)
Ответ:
coolvikusa46
coolvikusa46
17.11.2022
Написано несколько целых чисел, среди которых имеется 2018.

Предположим, что на доске написаны только единицы с нашим числом (исходя из второго условия, где говорится, что произведение чисел равно 2018).
По первому условию, мы можем сделать вывод, что первая половина единичек отрицательные, а вторая - положительные, что сводится к нулю, и в конечном результате мы получим 2018.
Стоит так-же учесть сколько единиц брать в отрицательную группу, ведь если мы возьмем нечетное кол-во, то при произведении конечный результат будет отрицательным. Осюда вывод, количество первой половины отрицательных единиц - четно, ровно так же как и второй половины.

Проанализировав варианты ответа, можно сделать вывод, что наш ответ будет 2017.
т.к.
(-1)+(-1)+...+(-1)=-1008 (первая половина, то есть состоит из 1008 отрицательных единиц и в произведении дает положительную единичку)
+1+1+...+1=1008 (вторая половина, так же состоит из 1008 единиц и в произведении дает 1)
Суммировав количество чисел с единицами мы получим 2016, так же не стоит забывать о нашем числе заданном в условии, которое должно присутствовать среди наших чисел. Вместе с ним будет 2017 чисел.
(-1)+(-1)+...+(-1) + 1+1+...+1 + 2018 = 2018
(-1)*(-1)*...*(-1) * 1*1*...*1 * 2018 = 2018

ответ: 2017 чисел
4,4(79 оценок)
Это интересно:
Новые ответы от MOGZ: Математика
logo
Вход Регистрация
Что ты хочешь узнать?
Спроси Mozg
Открыть лучший ответ