М
Молодежь
К
Компьютеры-и-электроника
Д
Дом-и-сад
С
Стиль-и-уход-за-собой
П
Праздники-и-традиции
Т
Транспорт
П
Путешествия
С
Семейная-жизнь
Ф
Философия-и-религия
Б
Без категории
М
Мир-работы
Х
Хобби-и-рукоделие
И
Искусство-и-развлечения
В
Взаимоотношения
З
Здоровье
К
Кулинария-и-гостеприимство
Ф
Финансы-и-бизнес
П
Питомцы-и-животные
О
Образование
О
Образование-и-коммуникации
StasSav06
StasSav06
16.11.2020 16:49 •  Математика

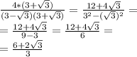
Освободитесь от иррациональности в знаменателе дроби: 4/3-√3 заранее !

👇
Ответ:
lika1vulvach
lika1vulvach
16.11.2020
\frac{4*(3+ \sqrt{3}) }{(3- \sqrt{3})(3+ \sqrt{3}) } = \frac{12+4 \sqrt{3} }{3^2- (\sqrt{3})^2 }= \\ = \frac{12+4 \sqrt{3} }{9-3}= \frac{12+4 \sqrt{3} }{6} = \\ = \frac{6+2 \sqrt{3} }{3}
4,4(19 оценок)
Ответ:
аааааааа36
аааааааа36
16.11.2020
4/3-√3 домножаем до разносьи квадратов в знаменателе
4*(3+√3)/(3-√3)(3+√3)=4(3+√3)/(9-3)=4(3+√3)/6=2(3+√3)/3
4,7(76 оценок)
Открыть все ответы
Ответ:
DImonist
DImonist
16.11.2020
За углом направо Жил-был Почемучка. За углом налево Проживала Злючка. Злючка все вредила, Всех она ругала, Маленьким и слабым Проходу не давала. Колючками от злости Злючка обрастала. Кроха Почемучка Страшно любопытный Был совсем малюсенький – От земли не видно. Каждую минуту: «что это такое? » - Он кричал и людям Не давал покоя! Как-то раз с вопросом Добрый Почемучка, Храбрости набравшись, Обратился к Злючке: «Почему же злая Ты такая, Злючка? И за что вонзаешь Всем свои колючки? Может, кто обидел, Иль живется худо? Всем вредишь за что ты, Злое Чудо-юдо?! » Злючка, не скрывая, Страшно разозлилась. Дерзкой этой речью Просто возмутилась. И от возмущения так раздулась Злючка, Что по отлетали все ее колючки. Вздорная девица Уж вредить не может, Но еще браниться И всем корчит рожи. Если вы однажды Встретите вреднючку, Погрозите пальцем, Постыдите Злючку.
4,7(71 оценок)
Ответ:
kristina758
kristina758
16.11.2020
1.Почему крокодилы, поедая мясо, «плачут»? Выводят соли из организма (правильный ответ)
2.Какого цвета кожа у Белого медведя? Черная (правильный ответ)
3. Размер самого крупного паука на Земле превышает...? 28 см (правильный ответ)
4. Какое животное имеет годовые кольца как у деревьев?Черепаха (правильный ответ)
5.Зачем совы селят в своих гнёздах змей?Чтобы птенцы быстрее росли и меньше болели (правильный ответ)
6.Какие животные защищаться от хищников, стреляя в них своей кровью?Жабовидные ящерицы (правильный ответ)
7.На каком расстоянии от тигра мы можем услышать его рычание? 2 км (правильный ответ)
4,5(42 оценок)
Это интересно:
Новые ответы от MOGZ: Математика
logo
Вход Регистрация
Что ты хочешь узнать?
Спроси Mozg
Открыть лучший ответ