М
Молодежь
К
Компьютеры-и-электроника
Д
Дом-и-сад
С
Стиль-и-уход-за-собой
П
Праздники-и-традиции
Т
Транспорт
П
Путешествия
С
Семейная-жизнь
Ф
Философия-и-религия
Б
Без категории
М
Мир-работы
Х
Хобби-и-рукоделие
И
Искусство-и-развлечения
В
Взаимоотношения
З
Здоровье
К
Кулинария-и-гостеприимство
Ф
Финансы-и-бизнес
П
Питомцы-и-животные
О
Образование
О
Образование-и-коммуникации
supergirl321
supergirl321
26.06.2022 01:47 •  Математика

Найдите первообразную функции f(x)=5x+x^2, график которой проходит через точку (0; 3)

👇
Ответ:
Danila240899
Danila240899
26.06.2022
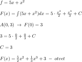
f=5x+x^2\\\\F(x)=\int (5x+x^2)dx=5\cdot \frac{x^2}{2}+\frac{x^3}{3}+C\\\\A(0,3)\; \to \; F(0)=3\\\\3=5\cdot \frac{0}{2}+\frac{0}{3}+C\\\\C=3\\\\F(x)=\frac{5}{2}x^2+\frac{1}{3}x^3+3\; -\; otvet
4,5(62 оценок)
Открыть все ответы
Ответ:
Sagyndykkymbat
Sagyndykkymbat
26.06.2022
Х (км/ч) - скорость одного пешехода; 3х (км) - расстояние до встречи
у (км/ч) - скорость другого пешехода; 3у (км) - расстояние до встречи
- - - - - - - - - - - - - - - - - - - - - - - - - - - - - - - - - - - - - - - - - - - - - - - - - - - - - -
Составим систему уравнений по условию задачи:
3х + 3у = 30
3х - 3у = 6

Упростим (разделим оба уравнения на 3)
х + у = 10
х - у = 2

х = 2 + у (из второго уравнения) подставим в первое уравнение
2 + у + у = 10
2у = 10 - 2 
2у = 8
у = 8 : 2
у = 4 (км/ч) - скорость одного пешехода

Подставим значение у в любое уравнение системы
х + 4 = 10                                      х - 4 = 2
х = 10 - 4                                       х = 2 + 4
х = 6                                              х = 6 (км/ч) - скорость другого пешехода
ответ: (6; 4).

Проверка:
3 * 6 + 3 * 4 = 30                   3 * 6 - 3 * 4 = 6
18 + 12 = 30                          18 - 12 = 6
30 = 30                                   6 = 6
4,6(51 оценок)
Ответ:
kitty67
kitty67
26.06.2022

Решим задачу с кругов Эйлера.

Пошаговое решение:

1)В классе всего 30 человек,5 из них не ходили вообще в походы.

2)10 человек приняли участие в пеших и лыжных походах,ставим 10 в пересечение кругов.

3)Узнаём,сколько человек были ТОЛЬКО в пешем походе.Из 17 человек пешего похода вычитаем тех,которые были в пеших и лыжных походах-10 человек.17-10=7 человек,ТОЛЬКО В ПЕШЕМ походе.Ставим 7 в круг пеших походов.

4)Узнаём,сколько человек были ТОЛЬКО в лыжном походе.Из общего числа 30 человек вычитаем 5 человек,которые не ходили вообще в походы,вычитаем 10 человек ,которые приняли участие в пеших и лыжных походах и 7 человек,которые были только в пешем походе.

30-5-10-7=8 человек,которые были ТОЛЬКО в лыжном походе.

Ставим 8 в круг лыжных походов.

5)Проверка:

5 никуда не ходивших +10  в пеших и лыжных походах+7 только пеших+8 только лыжных=5+10+7+8=30 человек всего в классе.

ответ:8 человек участвовало только в лыжном походе.


Вшколе были организованы походы, осенью-пешие, зимой-на лыжах. из 30 человек 3 класса в пешем походе
4,4(77 оценок)
Это интересно:
Новые ответы от MOGZ: Математика
logo
Вход Регистрация
Что ты хочешь узнать?
Спроси Mozg
Открыть лучший ответ