М
Молодежь
К
Компьютеры-и-электроника
Д
Дом-и-сад
С
Стиль-и-уход-за-собой
П
Праздники-и-традиции
Т
Транспорт
П
Путешествия
С
Семейная-жизнь
Ф
Философия-и-религия
Б
Без категории
М
Мир-работы
Х
Хобби-и-рукоделие
И
Искусство-и-развлечения
В
Взаимоотношения
З
Здоровье
К
Кулинария-и-гостеприимство
Ф
Финансы-и-бизнес
П
Питомцы-и-животные
О
Образование
О
Образование-и-коммуникации
Sergei74
Sergei74
29.11.2021 09:44 •  Математика

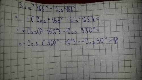
Sin квадрат 165° - cos квадрат 165°

👇
Ответ:
радмир1402
радмир1402
29.11.2021
Sin²165⁰-cos²165⁰=-cos(2·165⁰)=-cos330⁰=-cos(360⁰-30⁰)=-cos30⁰=-√3/2
4,5(61 оценок)
Ответ:
Lord222435
Lord222435
29.11.2021
У меня получилось вот так
Sin квадрат 165° - cos квадрат 165°
4,4(6 оценок)
Открыть все ответы
Ответ:
Ричард256
Ричард256
29.11.2021
А) ( 3/4 ) К - 12,5 = ( 9/8 ) К - ( 1/8 ) ; ( 9/8 ) К - ( 6/8 ) К = - 12,5 + ( 1/8 ) ; ( 3/8 ) К = - ( 100/8 ) + ( 1/8 ) ; 3К = - 99 ; К = - 33 ( ОТВЕТ ) ; Б) 4,7 - 8Z = 4,9 - 10Z ; 10Z - 8Z = 4,9 - 4,7 ; 2Z = 0,2 ; Z = 0,1 ( ОТВЕТ ) А) Y : ( 4/5 ) = 3 ( 1/8 ) : 1 ( 1/4 ) ; Y : ( 4/5 ) = ( 25/8 ) : ( 5/4 ) Y : ( 4/5 ) = 5/2 ; Y = ( 5/2 ) * ( 4/5 ) ; Y = 2 ( ОТВЕТ ) ; Б) Z : ( 3/14 ) = 3 ( 1/9 ) : ( 4/9 ) ; Z : ( 3/14 ) = ( 28/9 ) : ( 4/9 ) ; Z : ( 3/14 ) = 7 ; Z = 7 * ( 3/14 ) ; Z = 3/2 ; Z = 1,5 ( ОТВЕТ )
4,4(31 оценок)
Ответ:
blablabla43
blablabla43
29.11.2021
Сказочной героини Снегурочки формировался в народном сознании постепенно на протяжении веков. Первоначально возник в русских народных сказках как образ ледяной девочки – внучки, которую слепили из снега бездетные старик со старухой себе в утешение, а людям на радость. Однако существует предположение о том, что сказка о Снегурочке возникла на основе древнего славянского обряда похорон Костромы. И значит можно утверждать, что Кострома не просто родина Снегурочки – она и есть та самая Снегурочка.  Кострому изображали по-разному: это была или молодая женщина, закутанная в белое, с дубовой веткой в руках, идущая в сопровождении хоровода, или соломенное чучело женщины. Кострома означает игровой персонаж и саму игру, в конце которой Кострома заболевает и умирает, а затем встает и танцует. Заключительный эпизод игры и обряда, смерть и последующее воскресение Костромы, дал повод для восприятия образа Костромы как сезонного духа (духа растительности), что и роднит ее с образом Снегурочки. В сказке «Девочка Снегурочка» В. И. Даля старик со старухой наблюдали за чужими ребятами, «как они из снегу комочки катают, в снежки играют» и решили слепить себе дочку. «Старик принес комочек снега в избу, положил в горшочек, накрыл ветошкой и поставил на окошко. Взошло солнышко, пригрело горшочек, и снег стал таять». Так появилась девочка «беленькая, как снежок, и кругленькая, как комок». Сказочная Снегурочка тает, прыгая с подружками через большой жаркий костер, и превращается в маленькое облачко, улетающее в небо. Со временем образ героини трансформировался в народном сознании: Снегурочка становится внучкой Деда Мороза и ассоциируется с Рождественскими и Новогодними праздниками. Снегурочка  –  чисто русское явление и больше нигде в мире на новогодних и рождественских праздниках такой персонаж не фигурирует. Новую окраску приобретает образ под влиянием весенней сказки А. Н. Островского «Снегурочка». Из маленькой девочки – внучки героиня превращается в прекрасную девушку зажечь сердца юных берендеев горячим чувством любви. Не случайно у А. Н. Островского она дочь Мороза и Весны. Заложенный в этом противоречии компромисс делает образ Снегурочки трагичным, вызывает сочувствие, интерес, дает возможность сопоставлять его с другими сказочными героями русских народных сказок, а так же проводить аналогии с героями русской и зарубежной литературы. Образ Снегурочки привлекал многих поэтов, писателей, композиторов, художников.
4,8(90 оценок)
Это интересно:
Новые ответы от MOGZ: Математика
logo
Вход Регистрация
Что ты хочешь узнать?
Спроси Mozg
Открыть лучший ответ