М
Молодежь
К
Компьютеры-и-электроника
Д
Дом-и-сад
С
Стиль-и-уход-за-собой
П
Праздники-и-традиции
Т
Транспорт
П
Путешествия
С
Семейная-жизнь
Ф
Философия-и-религия
Б
Без категории
М
Мир-работы
Х
Хобби-и-рукоделие
И
Искусство-и-развлечения
В
Взаимоотношения
З
Здоровье
К
Кулинария-и-гостеприимство
Ф
Финансы-и-бизнес
П
Питомцы-и-животные
О
Образование
О
Образование-и-коммуникации
krissalis9
krissalis9
14.03.2021 02:41 •  Математика

Решите уравнение: 2cos(п+2x)=1 решите неравенство: 100^x+1> 0,1 : log5(125)+lg100- 9^1 решите уравнение: log3(^2x)-log3(x-3)=3

👇
Ответ:
plalisa
plalisa
14.03.2021
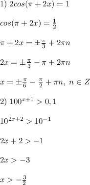
1)\; 2cos(\pi +2x)=1\\\\cos(\pi +2x)=\frac{1}{2}\\\\\pi +2x=\pm \frac{\pi}{3}+2\pi n\\\\2x=\pm \frac{\pi }{3}-\pi +2\pi n\\\\x=\pm \frac{\pi}{6}-\frac{\pi}{2}+\pi n,\; n\in Z\\\\2)\; 100^{x+1}0,1\\\\10^{2x+2}10^{-1}\\\\2x+2-1\\\\2x-3\\\\x-\frac{3}{2}
4,5(27 оценок)
Открыть все ответы
Ответ:
PVA8485
PVA8485
14.03.2021
Это очень просто ну например берём пример 6336:2=?-это делается таким образом по первой цифре определяем сколько цифр 6 я могу разделить на два а дальше выделяем все цифры даже если они меньше делителя, а значит 6336:2=4 цифры,6336:9=? вот здесь уже другой случай 6 мы не можем разделить на 9 поэтому берём сразу 2 цифры 6 и 3 а дальше по порядку это значит что 6336:9=3 цифры, 58135:7= это по второму примеры потому что 5 мы не можем разделить на 7 58135:7=4 цифры, 251052:6= это тоже по второму примеру потому что 2 я не разделю на 6 значит опять берём две цифры  2 и 5 251052:6= 5 цифр,411258:3= а тут уже по первому примеру потому что 4 я могу разделить на 3 411258:3=6 цифр,136012:4=5 цифр (надеюсь что ты поняла),254105:5=5 цифр.(я старалась объяснить понятным языком надеюсь что ты поняла если да то взаимно) 
4,8(25 оценок)
Ответ:
dfgery
dfgery
14.03.2021

Пошаговое объяснение:

1) 6336:2

в записи частного будет 4 цифры , поскольку первая цифра делимого 6 больше делителя 2

6336:2=3168

2)6336:9

в записи частного будет 3 цифры , поскольку первая цифра делимого 6 меньше делителя 9

6336:9 = 704

3) 58135:7

в записи частного будет 4 цифры , поскольку первая цифра делимого 5 меньше делителя 7

58135:7=8305

4)34472:8

в записи частного будет 4 цифры , поскольку первая цифра делимого 3 меньше делителя 8

34472:8=4309

5)251052:6

в записи частного будет 5 цифр , поскольку первая цифра делимого 2 меньше делителя 6

251052 :6=41842

6)411258:3

в записи частного будет 6 цифры , поскольку первая цифра делимого 4 больше делителя 3

411258:3= 137086

7) 136012:4

в записи частного будет 5 цифр , поскольку первая цифра делимого 1 меньше делителя 4

136012:4=34003

8) 254105:5

в записи частного будет 5 цифр , поскольку первая цифра делимого 2 меньше делителя 5

254105:5=50821

4,8(36 оценок)
Новые ответы от MOGZ: Математика
logo
Вход Регистрация
Что ты хочешь узнать?
Спроси Mozg
Открыть лучший ответ