М
Молодежь
К
Компьютеры-и-электроника
Д
Дом-и-сад
С
Стиль-и-уход-за-собой
П
Праздники-и-традиции
Т
Транспорт
П
Путешествия
С
Семейная-жизнь
Ф
Философия-и-религия
Б
Без категории
М
Мир-работы
Х
Хобби-и-рукоделие
И
Искусство-и-развлечения
В
Взаимоотношения
З
Здоровье
К
Кулинария-и-гостеприимство
Ф
Финансы-и-бизнес
П
Питомцы-и-животные
О
Образование
О
Образование-и-коммуникации
SBusic
SBusic
27.05.2021 09:52 •  Математика

По контракту гансу причиталось 48 таллеров за каждый отработанный день, а за каждый прогул с него взыскивалось 12 таллеров. через 30 дней ганс узнал ,что ему нечего не причитается и он нечего не должен. скоко дней он работал?

👇
Ответ:
Son0905
Son0905
27.05.2021

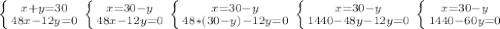
Составим систему уравнений (x - дней работал, y - дней прогулял):

48x - 12y = 0

x + y = 30

\left \{ {{x + y = 30} \atop {48x - 12y = 0}} \right. \left \{ {{x = 30-y} \atop {48x - 12y = 0}} \right. \left \{ {{x = 30-y} \atop {48*(30-y) - 12y = 0}} \right. \left \{ {{x = 30-y} \atop {1440-48y - 12y = 0}} \right. \left \{ {{x = 30-y} \atop {1440-60y = 0}} \right.

1440-60y=0

60y=1440

y=24

x=30-y

x=6

4,8(6 оценок)
Открыть все ответы
Ответ:
alenaafaunova
alenaafaunova
27.05.2021

Тут важно знать след. особенность: во всех прямоугольных треугольниках медиана, опущенная на гипотенузу, равна половине гипотенузы. 

Вычислить площадь треугольника, в данном случае, можно произведением половины высоты на гипотенузу.

Осталось найти медиану.

Высота и медиана образуют катет и гипотенузу прямоугольного треугольника соответственно. Тогда, зная катет этого треугольника (7см), по теореме Пифагора:

 

Значит, гипотенуза исходного треугольника равна 2*25=50см.

Найдем площадь:

ответ: 600 см в кв.

Пошаговое объяснение:

4,6(4 оценок)
Ответ:
Avry99
Avry99
27.05.2021

Тут важно знать след. особенность: во всех прямоугольных треугольниках медиана, опущенная на гипотенузу, равна половине гипотенузы. 

Вычислить площадь треугольника, в данном случае, можно произведением половины высоты на гипотенузу.

Осталось найти медиану.

Высота и медиана образуют катет и гипотенузу прямоугольного треугольника соответственно. Тогда, зная катет этого треугольника (7см), по теореме Пифагора:

 

Значит, гипотенуза исходного треугольника равна 2*25=50см.

Найдем площадь:

ответ: 600 см в кв.

Пошаговое объяснение:

4,8(57 оценок)
Новые ответы от MOGZ: Математика
logo
Вход Регистрация
Что ты хочешь узнать?
Спроси Mozg
Открыть лучший ответ