М
Молодежь
К
Компьютеры-и-электроника
Д
Дом-и-сад
С
Стиль-и-уход-за-собой
П
Праздники-и-традиции
Т
Транспорт
П
Путешествия
С
Семейная-жизнь
Ф
Философия-и-религия
Б
Без категории
М
Мир-работы
Х
Хобби-и-рукоделие
И
Искусство-и-развлечения
В
Взаимоотношения
З
Здоровье
К
Кулинария-и-гостеприимство
Ф
Финансы-и-бизнес
П
Питомцы-и-животные
О
Образование
О
Образование-и-коммуникации
gaifuling4owmrcy
gaifuling4owmrcy
27.11.2020 08:48 •  Математика

1) можно ли число 15 записать в виде суммы нескольких чисел и в виде произведения этих же чисел? 2) вместимостью большого бидона в 2 раза больше вместимости маленького бидона. из каждого бидона было продано по 20 литров молока, после чего в большом бидоне осталось в три раза больше молока, чем в маленьком. сколько литров молока осталось а каждом бидоне?

👇
Ответ:
Pomogite20000p
Pomogite20000p
27.11.2020
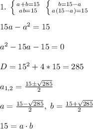
1.\; \left \{ {{a+b=15} \atop {ab=15}} \right. \; \left \{ {{b=15-a} \atop {a(15-a)=15}} \right. \\\\15a-a^2=15\\\\a^2-15a-15=0\\\\D=15^2+4*15=285\\\\a_{1,2}=\frac{15\pm\sqrt{285}}{2}\\\\a=\frac{15-\sqrt{285}}{2},\; b=\frac{15+\sqrt{285}}{2}\\\\15=a\cdot b

15 можно представить в виде суммы и в виде произведения двух иррациональных чисел.
2. Вместимость маленького бидона х литров, большого -2х литрв.
Затем стало (х-20) и (2х-20) литров
2х-20=3(х-20)
2х-20=3х-60
х=40
В 1 бидоне осталось 40-20=20 л,а
во 2 бидоне осталось 2*40-20=80-20=60 л
4,5(36 оценок)
Открыть все ответы
Ответ:
livanatalya
livanatalya
27.11.2020

ответ:

) в знаменателе находится многочлен.

2) многочлены находятся и в числителе и в знаменателе.

3) один или оба многочлена могут быть под корнем.

4) многочленов и корней, разумеется, может быть и больше.

пошаговое объяснение:

основные же предпосылки для применения признака даламбера следующие:

1) в общий член ряда («начинку» ряда) входит какое-нибудь число в степени, например, ,   ,   и так далее. причем, совершенно не важно, где эта штуковина располагается, в числителе или в знаменателе – важно, что она там присутствует.

2) в общий член ряда входит факториал. с факториалами мы скрестили шпаги ещё на уроке числовая последовательность и её предел. впрочем, не помешает снова раскинуть скатерть-самобранку:

4,7(21 оценок)
Ответ:
Nikronix
Nikronix
27.11.2020

484 км

Пошаговое объяснение:

V автомобиля - 65,5 км/час.

t движения автомобиля до выезда грузовика - 4 часа.

V грузовика - 45,5 км/час.

t встречи - 2 часа.

S между пунктами - ?

1) Вычисляем расстояние пройден-ное автомобилем за 4 часа.

S=V*t

65,5*4=262 (км)

2) Вычисляем скорость сближения.

При движении навстречу она равна сумме скоростей.

65,5+45,5=111 (км/час)

3) Вычисляем расстояние пройден-ное автомобилем и грузовиком до встречи.

111*2=222 (км)

4) Вычисляем расстояние между пунктами А и Б.

262+222=484 (км)

ответ: расстояние между пунктами А и Б 484 км.

4,7(88 оценок)
Это интересно:
Новые ответы от MOGZ: Математика
logo
Вход Регистрация
Что ты хочешь узнать?
Спроси Mozg
Открыть лучший ответ