М
Молодежь
К
Компьютеры-и-электроника
Д
Дом-и-сад
С
Стиль-и-уход-за-собой
П
Праздники-и-традиции
Т
Транспорт
П
Путешествия
С
Семейная-жизнь
Ф
Философия-и-религия
Б
Без категории
М
Мир-работы
Х
Хобби-и-рукоделие
И
Искусство-и-развлечения
В
Взаимоотношения
З
Здоровье
К
Кулинария-и-гостеприимство
Ф
Финансы-и-бизнес
П
Питомцы-и-животные
О
Образование
О
Образование-и-коммуникации
liliaseeee
liliaseeee
25.01.2022 19:59 •  Математика

При каких значениях параметра "а",уравнение имеет одно решение? ax-1=sqrt(8x-x^2-15) заранее: 3

👇
Ответ:
fykdshklf
fykdshklf
25.01.2022
ax-1= \sqrt{8x-x^2-15}
ОДЗ
8x-x^2-15 \geq 0
Решаем уравнение
\sqrt{8x^2-x^2-15} =ax-1
Возведем оба части до квадрата
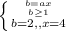
\left \{ {{ax-1 \geq 0} \atop {8x-x^2-15=(ax-1)^2}} \right.
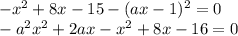
-x^2+8x-15-(ax-1)^2=0 \\ -a^2x^2+2ax-x^2+8x-16=0
Пусть ax = b \\ b-1 \geq 0\to b \geq 1
-b^2+2b-x^2+8x-16=0
Производим групприровку
(-b^2+2b-16)-x^2+8x=0
Находим дискриминант
D=-4b^2+8b
\left[\begin{array}{ccc} \left \{ {{-4b^2+8b=0} \atop {x=4}} \right. \\ \left \{ {{-4b^2+8b0} \atop {x= \frac{-8+ \sqrt{-4b^2+8b} }{-2} }} \right. \end{array}\right
Решим уравнение
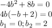
-4b^2+8b=0 \\ 4b(-b+2)=0 \\ b_1=0;b_2=2
Подставим
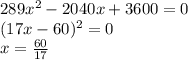
\left \{ {{b=ax} \atop {b \geq 1}}\atop {b =2}},,x=4 \right.
Корень 0 не подходит,
\left \{ {{ax=2} \atop {x=4}} \right. \to \left \{ {{4a=2} \atop {x=4}} \right. \to \left \{ {{a= \frac{1}{2} } \atop {x=4}} \right.

a=( \frac{1}{2} )^2= \frac{1}{4}

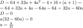
D=64+32a+4a^2-4*16*(a+1)= \\ = 64+32a+4a-64a-64=32a-60a \\ D=0 \\ a(32-60a)=0 \\ a= \frac{8}{15}

Подставим вместо а = 1/2, получаем
\frac{1}{2} x-1= \sqrt{8x-x^2-15}
Возведем оба части до квадрата
( \frac{1}{2} x-1)^2=8x-x^2-15 \\ 5x^2-36x+64=0
 Находим дискриминант
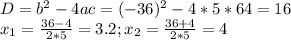
 D=b^2-4ac=(-36)^2-4*5*64=16 \\ x_1= \frac{36-4}{2*5} =3.2;x_2= \frac{36+4}{2*5} =4
Значит при а =1/2, х=3,2 и х =4
Теперь подставим 1/4
\frac{1}{4} x-1= \sqrt{8x-x^2-15}
17x^2-136x+256=0 \\ D=b^2-4ac=(-136)^2-4*17*256=1088; \sqrt{D}= 8 \sqrt{17} \\ x= \frac{136^+_--8 \sqrt{17} }{2*17} = \frac{68^+_- 4\sqrt{17} }{17}
Подходит только положительный корень
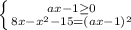
Теперь а=8/15
Получаем квадратное уравнение
289x^2-2040x+3600=0 \\ (17x- 60)^2=0 \\ x= \frac{60}{17}

одно решение имеет только при а = 8/15

ответ: a= \frac{8}{15} ;x= \frac{60}{17}
4,6(12 оценок)
Открыть все ответы
Ответ:
vintageflower
vintageflower
25.01.2022

Пошаговое объяснение:

1.  а) 9,8 б) 720 в) 3,9

2. (18-16,9)*3,3-3:7,5=1,1*3-0,4=3,3-0,4=2,9

3. 1)0,8*4,5=3,6

   2)3,6+2,3=5,9

   3)8,78-5,9=2,88

4.  ответ: 4

Контрольная работа №11

1. а)  3,2 ∙ 5,125=16.4;

б)  0,084 ∙ 6,9=0.5796;

в)  60,03 : 8,7=6.9;

г).  36,4 : 0,065=560

2.  ( 21 – 18,3 ) ∙ 6,6 + 3 : 0,6=2.7*6.6+30:6=17.82+5=22.82

3.  1) 0,8 • 1,7 = 1,36 (м) — по стволу;

    2) 2,32 - 1,36 = 0,96 (м) — по ветке;

    3) 0,96 :1,2 = 0,8 (мин) — гусеница ползла по ветке.

 ответ: 0,8 мин.

4.  1.) 6*4=24 сумма всех чисел

2.) 3,9+6,1+7,8=17,8 сумма трёх чисел

3.)24-17,8=2,2 четвёртое число

ответ: 2,2

3). В магазин привезли 10 ящиков яблок по 3,6 кг в одном ящике и 40 ящиков яблок по 3,2 кг в ящике. Сколько в среднем килограммов яблок в одном ящике ?

1) 10*3.6=36 кг яблок в 10 ящиках

2) 40*3,2=128 кг в 40 ящиках

3) 36+128=164  кг во всех ящиках

4) 10+40=50 ящиков всего

5) 164:50=3,28 кг в среднем в каждом ящике

ответ 3,28 кг

4). Из одного гнезда одновременно вылетели в противоположные стороны две вороны. Через 0,12 ч между ними было 7,8 км. Скорость одной вороны 32,8 к

4,4(69 оценок)
Ответ:
захра5566
захра5566
25.01.2022
1) 84 = 2 * 2 * 3 * 7         56 = 2 * 2 * 2 * 7
НОД (84 и 56) = 2 * 2 * 7 = 28 - наибольший общий делитель
Общие делители: 2, 4, 7, 14, 28

2) 225 = 3 * 3 * 5 * 5         180 = 2 * 2 * 3 * 3 * 5
НОД (225 и 180) = 3 * 3 * 5 = 45 - наибольший общий делитель
Общие делители: 3, 5, 9, 15, 45

а) 4 = 2 * 2         6 = 2 * 3         12 = 2 * 2 * 3
НОК (4, 6 и 12) = 2 * 2 * 3 = 12 - наименьшее общее кратное
Общие кратные: 12, 24, 36, 48, 60 ... и т.д. (+12) 

б) 3 - простое число,     4 = 2 * 2         18 = 2 * 3 * 3
НОК (3, 4 и 18) = 2 * 2 * 3 * 3 = 36 - наименьшее общее кратное
Общие кратные: 36, 72, 108, 144, 180 ... и т.д. (+36)

в) 3 - простое число,     6 = 2 * 3       9 = 3 * 3
НОК (3, 6 и 9) = 2 * 3 * 3 = 18 - наименьшее общее кратное
Общие кратные: 18, 36, 54, 72, 90 ... и т.д. (+18)

г) 10 = 2 * 5         16 = 2 * 2 * 2 * 2         40 = 2 * 2 * 2 * 5
НОК (10, 16 и 40) = 16 * 5 = 80 - наименьшее общее кратное
Общие кратные: 80, 160, 240, 320, 400 ... и т.д. (+80)

д) 6 = 2 * 3         9 = 3 * 3         10 = 2 * 5
НОК (6, 9 и 10) = 2 * 3 * 3 * 5 = 90 - наименьшее общее кратное
Общие кратные: 90, 180, 270, 360, 450 ... и т.д. (+90)

е) 12 = 2 * 2 * 3         15 = 3 * 5         20 = 2 * 2 * 5
НОК (12, 15 и 20) = 2 * 2 * 3 * 5 = 60 - наименьшее общее кратное
Общие кратные: 60, 120, 180, 240, 300 ... и т.д. (+60)
4,4(64 оценок)
Это интересно:
Новые ответы от MOGZ: Математика
logo
Вход Регистрация
Что ты хочешь узнать?
Спроси Mozg
Открыть лучший ответ