М
Молодежь
К
Компьютеры-и-электроника
Д
Дом-и-сад
С
Стиль-и-уход-за-собой
П
Праздники-и-традиции
Т
Транспорт
П
Путешествия
С
Семейная-жизнь
Ф
Философия-и-религия
Б
Без категории
М
Мир-работы
Х
Хобби-и-рукоделие
И
Искусство-и-развлечения
В
Взаимоотношения
З
Здоровье
К
Кулинария-и-гостеприимство
Ф
Финансы-и-бизнес
П
Питомцы-и-животные
О
Образование
О
Образование-и-коммуникации
GoldenLynx1999
GoldenLynx1999
25.11.2022 03:10 •  Математика

Найти площадь криволинейной трапеции, ограниченной линиями : y=0 , x=1 , y=x^3

👇
Ответ:
agargo228
agargo228
25.11.2022
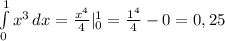
\int\limits^1_0 { x^{3} } \, dx= \frac{ x^{4} }{4} |_{0} ^{1} = \frac{ 1^{4} }{4}-0=0,25
4,8(84 оценок)
Открыть все ответы
Ответ:

а)раз тратили 6 дней по 4кг и 500г тогда мы 4кг и 500г переводим в дробь и умножить на шесть а потом прибавить 32 кг то есть получается такой пример 4,5*6+32= 68кг.

б) раз 85 это в 2 раза меньше чем с рисом то мы должны 85*2 что бы получить сколько у нас риса =170пирожков это с рисом и мы 170-85=85 это то на сколько пирожков с рисом больше

в)мы делим сначала 34 на 17 что бы узнать сколько весит мешок с мукой и это получается 2кг дальше мы 75:25 что бы узнать сколько весит мешок с рисом то есть 3кг и мы вычисляем то что мешок с рисом тяжелее мешка с мукой на 1 кг

4,4(71 оценок)
Ответ:
yuliam2015
yuliam2015
25.11.2022

S=1/3 кв. ед.

Пошаговое объяснение:

Решая уравнение (x+1)⁴=x+1, находим x1=-1 и x2=0 - нижний и верхний пределы интегрирования. Искомая площадь S=S1-S2, где S1=∫√(x+1)*dx, а S2=∫(x+1)²*dx. Находим первообразную для S1: F1(x)=∫(x+1)^(1/2)*d(x+1)=2/3*(x+1)^(3/2)+C1, где C1 - произвольная постоянная. Отсюда S1=F1(x2)-F1(x1)=2/3 кв. ед. Находим теперь первообразную для S2: F2(x)=∫(x+1)²*d(x+1)=1/3*(x+1)³+C2, где С2 - также произвольная постоянная. Отсюда S2=F2(x2)-F2(x1)=1/3 кв. ед. и тогда S=2/3-1/3=1/3.

Надеюсь .

4,7(7 оценок)
Новые ответы от MOGZ: Математика
logo
Вход Регистрация
Что ты хочешь узнать?
Спроси Mozg
Открыть лучший ответ