М
Молодежь
К
Компьютеры-и-электроника
Д
Дом-и-сад
С
Стиль-и-уход-за-собой
П
Праздники-и-традиции
Т
Транспорт
П
Путешествия
С
Семейная-жизнь
Ф
Философия-и-религия
Б
Без категории
М
Мир-работы
Х
Хобби-и-рукоделие
И
Искусство-и-развлечения
В
Взаимоотношения
З
Здоровье
К
Кулинария-и-гостеприимство
Ф
Финансы-и-бизнес
П
Питомцы-и-животные
О
Образование
О
Образование-и-коммуникации
kseniy32
kseniy32
30.01.2020 06:09 •  Математика

2- 1/6 = ? ( две целых минус одна шестая) с решением, )

👇
Ответ:
AnnGo9909
AnnGo9909
30.01.2020
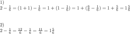
1) \\ 
2- \frac{1}{6} =(1+1)- \frac{1}{6} =1+(1- \frac{1}{6} )=1+( \frac{6}{6} - \frac{1}{6} )=1+ \frac{5}{6} =1 \frac{5}{6} \\ \\ \\ 2) \\ 2- \frac{1}{6} = \frac{12}{6}- \frac{1}{6} = \frac{11}{6} =1 \frac{5}{6}

Решение дано 2-мя
4,7(84 оценок)
Ответ:
OctavisicStar691
OctavisicStar691
30.01.2020
2-1/6= 1 целая 6/6- 1/6= 1 целая 5/6
4,4(59 оценок)
Открыть все ответы
Ответ:
Gerdu
Gerdu
30.01.2020
3) мало данных
4) если боковая сторона = 10 \sqrt{3}, а угол при основании 30, и зная, что катет напротив угла в 30 градусов = половине гипотенузы, то этот катет, она же высота = 5 \sqrt{3}
знаем гипотенузу и катет, найдем второй катет
\sqrt{(10 \sqrt{5})^2-(5 \sqrt{5})^2 } = \sqrt{500-125}= \sqrt{375} =5 \sqrt{15}
учитывая, что этот катет является половиной основания, то все основание = 10 \sqrt{15}
площадь можно найти по двум формулам:
S= \frac{a*h}{2};S=a*b*sin x
данные есть и для той, и для другой формулы, найдем по 1-ой
S= \frac{10 \sqrt{15}*5 \sqrt{3} }{2} =25* \sqrt{45} =75 \sqrt{5}
говорят, что ответ записать умножив на корень из 3
S=75* \sqrt{5}* \sqrt{3} =75 \sqrt{15}

5) если высота =4/5 боковой стороны, то вся боковая сторона = 8*5/4=10
по теореме Пифагора найдем половину основания
\sqrt{10^2-8^2}= \sqrt{100-64}= \sqrt{36} =6
все основание = 12
есть высота, есть основание, найдем площадь
S= \frac{a*h}{2}=\frac{12*8}{2} =48
4,8(54 оценок)
Ответ:
Gosha346
Gosha346
30.01.2020
1) Общий знаменатель 99
99 : 11 = 9 - доп.множ. к 6/11 = (6*9)/(11*9) = 54/99
99 : 9 = 11 - доп.множ. к 4/9 = (4*11)/(9*11) = 44/99
ответ: 6/11 и 4/9 = 54/99 и 44/99.

2) Общий знаменатель 18
18 : 6 = 3 - доп.множ. к 1/6 = (1*3)/(6*3) = 3/18
ответ: 7/18 и 1/6 = 7/18 и 3/18.

3) Общий знаменатель 28
28 : 7 = 4 - доп.множ. к 5/7 = (5*4)/(7*4) = 20/28
28 : 4 = 7 - доп.множ. к 3/4 = (3*7)/(4*7) = 21/28
ответ: 5/7 и 3/4 = 20/28 и 21/28.

4) Общий знаменатель 8
8 : 4 = 2 - доп.множ. к 3/4 = (3*2)/(4*2) = 6/8
ответ: 5/8 и 3/4 = 5/8 и 6/8.
4,6(34 оценок)
Новые ответы от MOGZ: Математика
logo
Вход Регистрация
Что ты хочешь узнать?
Спроси Mozg
Открыть лучший ответ