М
Молодежь
К
Компьютеры-и-электроника
Д
Дом-и-сад
С
Стиль-и-уход-за-собой
П
Праздники-и-традиции
Т
Транспорт
П
Путешествия
С
Семейная-жизнь
Ф
Философия-и-религия
Б
Без категории
М
Мир-работы
Х
Хобби-и-рукоделие
И
Искусство-и-развлечения
В
Взаимоотношения
З
Здоровье
К
Кулинария-и-гостеприимство
Ф
Финансы-и-бизнес
П
Питомцы-и-животные
О
Образование
О
Образование-и-коммуникации
Varbax896
Varbax896
30.07.2020 12:29 •  Математика

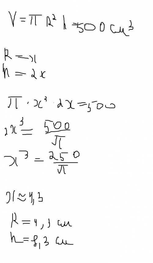
Объём равностороннего цилиндра равен 500см^3. найти радиус и высоту цилиндра.

👇
Ответ:
салонки
салонки
30.07.2020

Пошаговое объяснение:

вот


Объём равностороннего цилиндра равен 500см^3. найти радиус и высоту цилиндра.
4,7(84 оценок)
Открыть все ответы
Ответ:
Mamulia1221
Mamulia1221
30.07.2020

Задание 1.

(4,1x + 2,5) – (2,3x + 3,9) = 1,6x;

4,1x + 2,5 - 2,3x - 3,9 = 1,6x;

4,1x - 2,3x - 1,6x = - 2,5 + 3,9;

0,2x = 1,4;

x = 1,4 ÷ 0,2;

x = 7.

ответ: 7.

Задание 2.

5ax = 14 – x , при x = 4.

5a × 4 = 14 - 4;

20a = 10;

a = 10 ÷ 20;

a = 0,5.

ответ: 0,5.

Задание 3.

5x − 0,4 (7x − 9) = 2,94;

5x - 2,8x + 3,6 = 2,94;

5x - 2,8x = 2,94 - 3,6;

2,2x = -0,66;

x = -0,66 ÷ 2,2;

x = -0,3.

ответ: -0,3.

Задание 4.

−3 (2,1x − 4) − 1,9 = 2,6 + 1,2 (0,5 − 5x);

-6,3x + 12 - 1,9 = 2,6 + 0,6 - 6x;

-6,3x + 6x = 2,6 + 0,6 - 12 + 1,9;

-0,3x = -6,9;

x = -6,9 ÷ (-0,3);

x = 23.

ответ: 23.

Удачи Вам! :)

4,7(44 оценок)
Ответ:
hytjnfxyhhjyutf
hytjnfxyhhjyutf
30.07.2020
Атлантический океан известен человеческой цивилизации с незапамятных времён. Именно здесь, по древним преданиям, находился таинственный остров Атлантида, ушедший под воду семнадцать тысяч лет назад. Жил на нём воинственный и мужественный народ (атланты), а царствовал над ним бог Посейдон вместе с женой Клейто. Имя их старшего сына было Атлан. В его честь, омывающее эту землю безбрежное море и было названо Атлантическим.

Атлантический океан
Загадочная цивилизация канула в лету, море переименовали в океан, а название так и осталось. Никуда не делись и тайны Атлантического океана. По столетий их меньше не стало. Но прежде чем ознакомиться со всем необычным и загадочным, необходимо получить общее представление о величественных водах, омывающих одновременно и берега жаркой Африки, и земли старушки Европы, и далёкое, покрытое дымкой сказочных преданий скалистое побережье Американского континента.
4,7(16 оценок)
Это интересно:
Новые ответы от MOGZ: Математика
logo
Вход Регистрация
Что ты хочешь узнать?
Спроси Mozg
Открыть лучший ответ