М
Молодежь
К
Компьютеры-и-электроника
Д
Дом-и-сад
С
Стиль-и-уход-за-собой
П
Праздники-и-традиции
Т
Транспорт
П
Путешествия
С
Семейная-жизнь
Ф
Философия-и-религия
Б
Без категории
М
Мир-работы
Х
Хобби-и-рукоделие
И
Искусство-и-развлечения
В
Взаимоотношения
З
Здоровье
К
Кулинария-и-гостеприимство
Ф
Финансы-и-бизнес
П
Питомцы-и-животные
О
Образование
О
Образование-и-коммуникации
asdfghjkl115
asdfghjkl115
14.09.2022 15:25 •  Математика

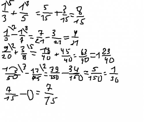
Б)1/3+1/5 г)1/3-1/7 е)9/20+3/8 з)13/50-17/75 к)7/15-0

👇
Ответ:

)))))))))))))))))))))))))))))))))) на картинке


Б)1/3+1/5 г)1/3-1/7 е)9/20+3/8 з)13/50-17/75 к)7/15-0
4,4(63 оценок)
Открыть все ответы
Ответ:
zvon007
zvon007
14.09.2022
1.
1) 8 : 0,16 = 8 : 4/25 = 8 × 25/4 = 50
2) 3 3/4 × 6,4 = 15/4 × 6 4/10 = 15/4 × 64 = 240
3) 50 - 240 = -190 (?) сомневаюсь... возможно ошибка в первом действии или в самом примере.
2.
1) 6,25 × 8 = 50
2) 3 3/2 : 5,5 = 3 3/2 : 5 1/2 = 9/2 : 11/2 = 9/2 × 2/11 = 9/11
3) 2,4 × 4 7/12 = 2 2/5 × 4 7/12 = 12/5 × 55/12 = 11
4) 50 - 9/11 = 49 11/11 - 9/11 = 49 2/11
5) 49 2/11 + 11 = 60 2/11
3.
1) 1 2/5² = 1 2/5 × 1 2/5 = 7/5 × 7/5 = 14/25
2) 14/25 - 1,6 = 14/25 - 1 3/5 = 14/25 - 8/5 = 14/25 - 40/25 = ?
Сомневаюсь в первом и последнем примере, совсем не знаю, может, это я уже от недосыпа не могу решить? Во всяком случае, второй решён, если сама догадаешься, отпишись мне
4,4(86 оценок)
Ответ:
zakriev767
zakriev767
14.09.2022
1) делилось на 3 
Чтобы число делилось на 3, необходимо и достаточно, чтобы сумма цифр этого числа делилась на 3
(4+9+7+*)=(20+*) должно быть кратно 3
вместо звездочки можно поставить 1; 4 или 7
ответ. 4971
           4974
           4977 

2) делилось на 10
Чтобы число делилось на 10, необходимо и достаточно, чтобы оно оканчивалось на 0
ответ. 4970

3) было кратно 9
Чтобы число делилось на 9, необходимо и достаточно, чтобы сумма цифр этого числа делилась на 9
(4+9+7+*)=(20+*) должно быть кратно 9
вместо звездочки можно поставить  7
ответ.  4977 
4,5(87 оценок)
Это интересно:
Новые ответы от MOGZ: Математика
logo
Вход Регистрация
Что ты хочешь узнать?
Спроси Mozg
Открыть лучший ответ