М
Молодежь
К
Компьютеры-и-электроника
Д
Дом-и-сад
С
Стиль-и-уход-за-собой
П
Праздники-и-традиции
Т
Транспорт
П
Путешествия
С
Семейная-жизнь
Ф
Философия-и-религия
Б
Без категории
М
Мир-работы
Х
Хобби-и-рукоделие
И
Искусство-и-развлечения
В
Взаимоотношения
З
Здоровье
К
Кулинария-и-гостеприимство
Ф
Финансы-и-бизнес
П
Питомцы-и-животные
О
Образование
О
Образование-и-коммуникации
vadi96356
vadi96356
15.11.2022 22:11 •  Математика

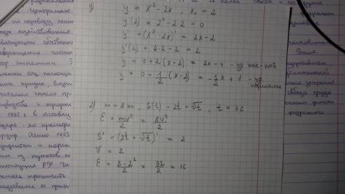
1)составить уравнение касательной и нормали к параболе y=x^2-2x в точке с абсциссой x0=2 2)зависимость пути от времени при прямолинейном движении тела массой 8кг задана уравнением s(t)=2t+(корень)t.найти кинетическую энергию тела e=mv^2/2 через 4с после начала движения

👇
Ответ:
WESTBEST
WESTBEST
15.11.2022
Точно не знаю, но вроде бы так
1)составить уравнение касательной и нормали к параболе y=x^2-2x в точке с абсциссой x0=2 2)зависимос
4,7(92 оценок)
Открыть все ответы
Ответ:
Leska7
Leska7
15.11.2022
1 школа = Х кг
2 школа = 6х кг
3 школа = х + 136 кг
Всего : 552

х + 6х + х + 136 = 552
8х = 552 - 136
8х = 416
х = 416 : 8
х = 52 кг отправили в 1 школу
52 * 6 = 312 кг отправили во 2 школу
52 + 136 = 188 кг отправили в 3 школу

если уравнение не подойдёт тогда попробуй так:

1) 1 + 1 + 6 = 8 частей во все три школы 
2) 552 - 136 = 416 кг поровну
3) 416 : 8 = 52 кг это 1 часть и столько пошло в 1 школу
4) 52 + 136 = 188 кг это 1 часть + на 136 больше пошло в 3 школу
5) 52 * 6 = 312 кг это 6 частей пошло во 2 школу
4,5(45 оценок)
Ответ:
эля0521
эля0521
15.11.2022
1 школа = Х кг
2 школа = 6х кг
3 школа = х + 136 кг
Всего : 552

х + 6х + х + 136 = 552
8х = 552 - 136
8х = 416
х = 416 : 8
х = 52 кг отправили в 1 школу
52 * 6 = 312 кг отправили во 2 школу
52 + 136 = 188 кг отправили в 3 школу

если уравнение не подойдёт тогда попробуй так:

1) 1 + 1 + 6 = 8 частей во все три школы 
2) 552 - 136 = 416 кг поровну
3) 416 : 8 = 52 кг это 1 часть и столько пошло в 1 школу
4) 52 + 136 = 188 кг это 1 часть + на 136 больше пошло в 3 школу
5) 52 * 6 = 312 кг это 6 частей пошло во 2 школу
4,6(34 оценок)
Это интересно:
Новые ответы от MOGZ: Математика
logo
Вход Регистрация
Что ты хочешь узнать?
Спроси Mozg
Открыть лучший ответ