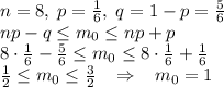
Пошаговое объяснение:
вся нижняя строка это "1"
обратное число к числу Х, это число, которое при умножении на Х даёт 1, например обратное число числу 2 это ½, т к 2 * ½ = 1
теперь решаем..
4⅗ это 23/5 обратное число - 5/23
3⅐ это 22/7 обратное число - 7/22
8½ это 17/2 обратное число - 2/17

это 47/9 обратное число - 9/47
это всё ты записываешь во вторую строку...
эээх... дальше...
у нас есть число 3/17, ему обратное - 17/3, теперь сокращаем, получается 5⅔
у нас есть число 5/48
ему обратное - 48/5, сокращаем и получаем 9⅗
и последнее
у нас есть число 7/50, ему обратное - 50/7, сокращаем, и получаем 7⅐
это ты записываешь в первую строку
Второй столбик:
3целых 1/7 - смешанное число
3целых 1/7 = 22/7 = 7/22 - обратное число
1 - их произведение
Третий столбик:
8целых 1/2 - смешанное число
8целых 1/2 = 17/2 = 2/17 - обратное число
1 - их произведение
Четвертый столбик:
5целых 2/9 - смешанное число
5целых 2/9 = 47/9 = 9/47 - обратное число
1 - их произведение
Пятый столбик:
3/17 = 17/3 = 5целых 2/3 - смешанное число
3/17 - обратное число
1 - их произведение
Шестой столбик:
5/48 = 48/5 = 9целых 3/5 - смешанное число
5/48 - обратное число
1 - их произведение
Седьмой столбик:
7/50 = 50/7 = 7целых 1/7 - смешанное число
7/50 - обратное число
1 - их произведение