М
Молодежь
К
Компьютеры-и-электроника
Д
Дом-и-сад
С
Стиль-и-уход-за-собой
П
Праздники-и-традиции
Т
Транспорт
П
Путешествия
С
Семейная-жизнь
Ф
Философия-и-религия
Б
Без категории
М
Мир-работы
Х
Хобби-и-рукоделие
И
Искусство-и-развлечения
В
Взаимоотношения
З
Здоровье
К
Кулинария-и-гостеприимство
Ф
Финансы-и-бизнес
П
Питомцы-и-животные
О
Образование
О
Образование-и-коммуникации

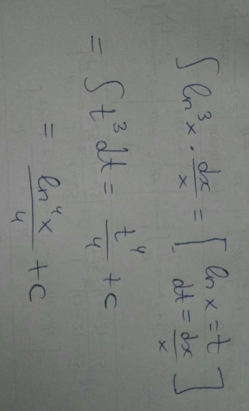
Никак не разберу тему решения интеграла методом подстановки. , .

👇
Ответ:
arsenenko
arsenenko
24.06.2021

во вложении

Пошаговое объяснение:

lnx - функция, dx/x - её производная


Никак не разберу тему решения интеграла методом подстановки. , .
4,5(29 оценок)
Открыть все ответы
Ответ:
Маруся200117
Маруся200117
24.06.2021

ответ:ответ. 102. Решение. Проведем отрезки BD и CE. Пусть они пересекаются в точке О. Заметим, что треугольники BCD и CDE равнобедренные с углом 108 при вершине, а значит, углы при основании равны 36 (они отмечены на рисунке одной дугой). Тогда BCE = BDE = 72. Угол COD равен 108 (т.к. в треугольнике COD два угла по 36). Поэтому COB = 180108 = 72. Углы по 72 отмечены на рисунке двумя дугами. Получаем, что треугольники CBO и DEO равнобедренные. Значит, AB = BO =BC = CD = DE = EO = х. Заметим, что OBA = 9636 = 60. Значит, треугольник OBA равнобедренный с углом 60 при вершине, т.е. равносторонний. Поэтому AO = x. Вычислим угол AOE AOE = EOBAOB = 10860 = 48. Треугольник AOE равнобедренный с углом 48 при вершине. Поэтому OEA = (18048)/2 = 66. Получаем, что угол E пятиугольника равен AED = AEO+OED = 66+36 = 10

Пошаговое объяснение:

4,4(73 оценок)
Ответ:
Dennie258
Dennie258
24.06.2021

Пошаговое объяснение:

Р₁{1-й стрел. попал}=0,8       P₁'{1-й стрел. не попал}=1-0,8=0,2

P₂{2-й стрел. попал}-0,7      P₂'{2-й стрел. не попал}=1-0,7=0,3

P₃{3-й стрел. попал}=0,6     P₃'{3-й стрел. не попал}=1-0,6=0,4

1) 0 попаданий ( все три стрелка промахнулись, т.е. 1-й не попал и 2-й не попал и 3-й не попал)

вероятность=P₁'·P₂'·P₃'=0,2·0,3·0,4=0,024

2)1 попадание (1-й попал, а 2-й и 3-й нет или 2-й попал, а 1-й и 3-й нет или 3-й попал, а 1-й и 2-й нет)

вероятность=P₁·P₂'·P₃'+P₁'·P₂·P₃'+P₁'·P₂'·P₃=0,8·0,3·0,4+0,2·0,7·0,4+0,2·0,3·0,6=0,096+0,056+0,036=0,188

3)2 попадания (1-й и 2-й попали а 3-й нет или 1-й и 3-й попали а 2-й нет или 2-й и 3-й попали а 1-й нет)

вероятность=P₁·P₂·P₃'+P₁·P₂'·P₃+P₁'·P₂·P₃=0,8·0,7·0,4+0,8·0,3·0,6+0,2·0,7·0,6=0,224+0,144+0,084=0,452

4)3 попадания (все трое попали 1-й попал и 2-й попал и 3-й попал)

вероятность=P₁·P₂·P₃=0,8·0,7·0,6=0,336

число попаданий      0               1              2              3

вероятность              0,024     0,188      0,452      0,336

4,4(92 оценок)
Это интересно:
Новые ответы от MOGZ: Математика
logo
Вход Регистрация
Что ты хочешь узнать?
Спроси Mozg
Открыть лучший ответ