М
Молодежь
К
Компьютеры-и-электроника
Д
Дом-и-сад
С
Стиль-и-уход-за-собой
П
Праздники-и-традиции
Т
Транспорт
П
Путешествия
С
Семейная-жизнь
Ф
Философия-и-религия
Б
Без категории
М
Мир-работы
Х
Хобби-и-рукоделие
И
Искусство-и-развлечения
В
Взаимоотношения
З
Здоровье
К
Кулинария-и-гостеприимство
Ф
Финансы-и-бизнес
П
Питомцы-и-животные
О
Образование
О
Образование-и-коммуникации
Mihail568
Mihail568
09.06.2021 03:28 •  Математика

Найдите значение выражения, используя распределительное свойство умножения: 1) 18 * (1/3 - 1/9); 2) (2 - 3/4 - 4/5) * 20.

👇
Ответ:
suslik030715
suslik030715
09.06.2021

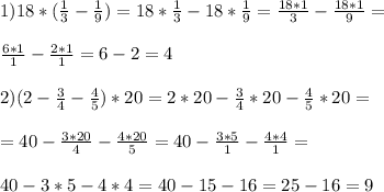
1)18*(\frac{1}{3}-\frac{1}{9})=4

2)(2-\frac{3}{4}-\frac{4}{5})*20=9

Пошаговое объяснение:

1)18*(\frac{1}{3}-\frac{1}{9})=18*\frac{1}{3}-18*\frac{1}{9}=\frac{18*1}{3}-\frac{18*1}{9}=\\\\\frac{6*1}{1}-\frac{2*1}{1}=6-2=4\\\\2)(2-\frac{3}{4}-\frac{4}{5})*20=2*20-\frac{3}{4}*20-\frac{4}{5}*20=\\\\=40-\frac{3*20}{4}-\frac{4*20}{5}=40-\frac{3*5}{1}-\frac{4*4}{1}=\\\\40-3*5-4*4=40-15-16=25-16=9

4,7(11 оценок)
Ответ:
Deeplace
Deeplace
09.06.2021

1) 18*(1/3 - 1/9) = 18/3 - 18/9 = 6 - 2 = 4

Другой

18*(3/9 - 1/9) = 18*2/9 = 2*18/9 = 2*2 = 4

2) (2 - 3/4 - 4/5)*20 = 2*20 - 3*20/4 - 4*20/5 = 40 - 15 - 16 = 9

Другой

(40/20 - 15/20 - 16/20)*20 = (40 - 15 - 16)/20*20 = 9/20*20 = 9

4,6(44 оценок)
Открыть все ответы
Ответ:
Katya111zz3
Katya111zz3
09.06.2021
Ich bin Scüler(in).Ich gehe in die Schule №__,in die Klasse___A (B).Ich lerne gut.Meine Schule liegt nicht weit von meinem Haus,in der Stadtmitte.Ich gehe in die Schule nur 15 Minuten.Hier verbringe ich viel Zeit.Hier lernen meine besten Freunde.
Meine Schule ist groß und neu.Sie hat 3 Stockwerke.Im Erdgeschoss befinden sich die Garderobe,die Mensa und die Klassenräume der Grundschule.Im ersten Stock sind die Sporthalle,das Direktorkabinet und die Klassenräume für Chemi,Russisch,Physik und Literatur.Im zweiten Stock befinden sich die Klsssenräume für Englisch,Mathematik,Erdkunde und Biologie.In meiner Schule unterrichten die besten Lehrer.Gewöhnlich habe ich 6 Stunden pro Tag.Meine Lieblingsfächer sind Geschichte und Deutsch.Ich mag sehr meine Schule.
4,4(15 оценок)
Ответ:
сергоо16
сергоо16
09.06.2021
Пусть у каждого осталось по х (грибов)
тогда  Вася нашёл (х + 5) грибов
Коля нашёл (х + 6) грибов,
а Миша нашёл (х + 8) грибов)
По условию задачи составим уравнение:
х + 5 + х + 6 + х + 8 = 70
3х = 70 - 19
3х = 51
х = 17
ответ: по 17 грибов осталось у каждого.

Решение задачи может быть верным, если собрали 70 грибов или 40 грибов
При условии, что собрали 40 грибов, у каждого мальчика останется по 7 грибов.

Даю решение без х при всех собранных 40 грибах:
1) 5 + 6 + 8 = 19(грибов) отдали на суп
2) 40 - 19 = 21 (гриб) осталось у троих мальчиков)
3) 21 : 3 = (по) 7 грибов осталось у каждого.

В задаче опечатка в количестве собранных грибов. 60 просто не может быть.
4,8(89 оценок)
Новые ответы от MOGZ: Математика
logo
Вход Регистрация
Что ты хочешь узнать?
Спроси Mozg
Открыть лучший ответ