М
Молодежь
К
Компьютеры-и-электроника
Д
Дом-и-сад
С
Стиль-и-уход-за-собой
П
Праздники-и-традиции
Т
Транспорт
П
Путешествия
С
Семейная-жизнь
Ф
Философия-и-религия
Б
Без категории
М
Мир-работы
Х
Хобби-и-рукоделие
И
Искусство-и-развлечения
В
Взаимоотношения
З
Здоровье
К
Кулинария-и-гостеприимство
Ф
Финансы-и-бизнес
П
Питомцы-и-животные
О
Образование
О
Образование-и-коммуникации

Решить предел lim (cbrt(x)-1)/(sqrt(1+x)-sqrt(2x)) предел стремится к 1

👇
Ответ:
Дзера1111
Дзера1111
29.05.2021
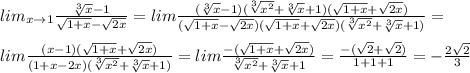
lim_{x\to 1}\frac{\sqrt[3]{x}-1}{\sqrt{1+x}-\sqrt{2x}}=lim\frac{(\sqrt[3]{x}-1)(\sqrt[3]{x^2}+\sqrt[3]{x}+1)(\sqrt{1+x}+\sqrt{2x})}{(\sqrt{1+x}-\sqrt{2x})(\sqrt{1+x}+\sqrt{2x})(\sqrt[3]{x^2}+\sqrt[3]{x}+1)}=\\\\lim\frac{(x-1)(\sqrt{1+x}+\sqrt{2x})}{(1+x-2x)(\sqrt[3]{x^2}+\sqrt[3]{x}+1)}=lim\frac{-(\sqrt{1+x}+\sqrt{2x})}{\sqrt[3]{x^2}+\sqrt[3]{x}+1}=\frac{-(\sqrt2+\sqrt2)}{1+1+1}=-\frac{2\sqrt2}{3}
4,4(42 оценок)
Открыть все ответы
Ответ:
medinehuseynzade
medinehuseynzade
29.05.2021
Бейеү кеүек үҙенсәлекле тел тыуҙы элек һүҙҙәре.Тарих башҡорт бейеү китеп бара голубь быуаттар. Беренсе биләр күрһәтелде менән бәйле шәхес яҙмышы, уның хеҙмәте менән, егонин представления тураһында окружающей донъяла. Нимә тураһында һөйләнеләр, беренсе биләр? Күрәһең, шул кеше булараҡ, үҙ ҡорал өсөн бер ауға,йәки тураһында һөйләне, шул тиклем эшләй, үҙ янында.
"Башҡорт теле танцах һаҡланған хәрәкәте отражающие йүгереү ла, ат сабыштарында. Ҡатын-кыҙҙар изображать биҙәге буйынса эш хужалыҡ кәрәк-яраҡтары, ашарға әҙерләүҙә, прядение.

Биҙәге сағылыш тапты ғөрөф-ғәҙәт, темперамент, идеалдар халҡыбыҙ, уның бәйләнеш бөгөн эшҡыуарлыҡ-регион һәм зло.
4,4(16 оценок)
Ответ:
Владс119
Владс119
29.05.2021
1) Студент выучил 20 из 30 билетов, значит вероятность того, что он вытащит первым билет который знает 20\30, вероятность, что он вытащит и второй билет который знает 19\29, т.к. всего билетов осталось 29,из которых он знает 19 и так далее. События не зависят друг от друга, значит, чтобы получить вероятность того, что он вытащит 5 билетов подряд, которые выучил, нужно их перемножить

\frac{20}{30} * \frac{19}{29} * \frac{18}{28} * \frac{17}{27} * \frac{16}{26} = \frac{2584}{23751}

2) Пока что-то с ответом не сходится

3) Ну тут мы смотрим, сколько раз повторяются буквы.
К - 2 раза, О - 3 раза, Л - 1, Б - 1 и решаем по тому же принципу, перемножая вероятности

\frac{2}{7} * \frac{3}{6} * \frac{1}{5} * \frac{2}{4} * \frac{1}{3} * \frac{1}{2} * \frac{1}{1} = \frac{12}{5040} = \frac{1}{420}
4,4(29 оценок)
Это интересно:
Новые ответы от MOGZ: Математика
logo
Вход Регистрация
Что ты хочешь узнать?
Спроси Mozg
Открыть лучший ответ