М
Молодежь
К
Компьютеры-и-электроника
Д
Дом-и-сад
С
Стиль-и-уход-за-собой
П
Праздники-и-традиции
Т
Транспорт
П
Путешествия
С
Семейная-жизнь
Ф
Философия-и-религия
Б
Без категории
М
Мир-работы
Х
Хобби-и-рукоделие
И
Искусство-и-развлечения
В
Взаимоотношения
З
Здоровье
К
Кулинария-и-гостеприимство
Ф
Финансы-и-бизнес
П
Питомцы-и-животные
О
Образование
О
Образование-и-коммуникации
Романman
Романman
28.05.2020 15:17 •  Математика

1. длины сторон треугольника удовлетворяют соотношению 1/(a+b) + 1/(b+c) = 3/(a+b+c) . найдите средний по величине угол треугольника.

👇
Ответ:
Тамик03
Тамик03
28.05.2020
По неравенству треугольников 
a+bc\\
b+ca\\ 
Оценим длины сторон треугольников  
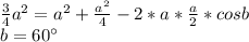
\frac{1}{c} + \frac{1}{a}=\frac{3}{2c}\\
c=\frac{a}{2}   
Откуда получим    b=\frac{\sqrt{3}}{2}a,при условий a0  
Откуда  следует что сторона b средняя   
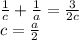
По теореме косинусов 
 \frac{3}{4}a^2=a^2+\frac{a^2}{4}-2*a*\frac{a}{2}*cosb\\
b=60а  

 
4,6(89 оценок)
Открыть все ответы
Ответ:
alenamarishchu
alenamarishchu
28.05.2020

Часы+Час=2017

Пойдем по разрядам:

В слове часы буква ч выступает в роли разряда тысяч, поскольку в слове час всего 3 буквы(нет тысячного разряда), то можем предположить, что ч=2. (ч=2)


Дальше буква а - разряд сотых, в слове час за этот разряд отвечает буква ч, которая нам известна: a+2=0, тк а не может быть отрицательна, а 0 - переход разрядов, то а=8, тогда 8+2=10, 1 перейдет в разряд выше, ч будет равно 3, что не есть правильным.

Значит ч нужно сделать меньше на 1, тогда это-же уравнение будет иметь ответ а=9. (ч=1 , а=9)


Следующей идет буква с, по тому же принципу вычисляем её значение:

a+c=1; 9+c=1; c=2

а делаем меньше на 1, тогда 8+c=1; с=3 (а=8, с=3)


Последней буквой и разрядом идет ы, те же процедуры:

ы+с=7; ы+3=7; ы=4; Перехода нет. (с=3, ы=4)


Проверка:

1834+183=2017 - это значит что всем буквам подставлены соответствующие цифры.


Теперь можно и найти слово СЫЧ простой подстановкой цифр:

C - 3

Ы - 4

Ч - 1


ответ: СЫЧ=341

4,8(82 оценок)
Ответ:
лера21091
лера21091
28.05.2020
1) так как при прибавлении к четырехзначному числу трехзначного получается четырехзначное с двумя первыми цифрами 2 и 0, то Ч = 1

1АСЫ + 1АС = 2017

А + 1 или А + 2 = 10 (+2 если при С + А сносим еще 1)
1) А  = 9
19СЫ + 19С = 2017

С + 9 заканчивается на 1, поэтому С + 9 больше 10, значит этот случай не правильный, потому что мы не должны сносить 1

2) А = 8

18СЫ + 18С = 2017

С + 8 заканчивается на 1 или С + 9 заканчивается на 1

1) С = 3

183Ы + 183 = 2017 
Ы = 4

СЫЧ = 341

2) С = 2
182Ы + 182 = 2017

Ы = 17 - 2 = 15 - неправильно

значит, единственный вариант: 
1834 + 183 = 2017

СЫЧ = 341
4,8(22 оценок)
Новые ответы от MOGZ: Математика
logo
Вход Регистрация
Что ты хочешь узнать?
Спроси Mozg
Открыть лучший ответ