М
Молодежь
К
Компьютеры-и-электроника
Д
Дом-и-сад
С
Стиль-и-уход-за-собой
П
Праздники-и-традиции
Т
Транспорт
П
Путешествия
С
Семейная-жизнь
Ф
Философия-и-религия
Б
Без категории
М
Мир-работы
Х
Хобби-и-рукоделие
И
Искусство-и-развлечения
В
Взаимоотношения
З
Здоровье
К
Кулинария-и-гостеприимство
Ф
Финансы-и-бизнес
П
Питомцы-и-животные
О
Образование
О
Образование-и-коммуникации
fghjik
fghjik
15.12.2020 05:26 •  Математика

Найдите длины биссектрис острых углов прямоугольного треугольника ,если его катеты равны 3 см и 4 см. полное решение и рисунок желательно)

👇
Ответ:
алик143
алик143
15.12.2020
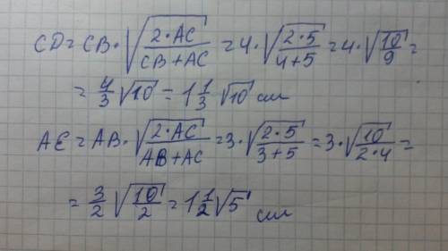
По т. Пифагора находим гипотенузу:
АС=√3²+4²=√25=5 см
Согласно формулам биссектрис прямоугольного треуг-ка:
CD=4√10/9
АЕ=3√10/8=3√5/4
Остальное в фото:
Найдите длины биссектрис острых углов прямоугольного треугольника ,если его катеты равны 3 см и 4 см
Найдите длины биссектрис острых углов прямоугольного треугольника ,если его катеты равны 3 см и 4 см
4,8(18 оценок)
Открыть все ответы
Ответ:
ьапттыт
ьапттыт
15.12.2020
Для вычисления массы стержня на отрезке от 2 до 5, нам необходимо использовать определенный интеграл плотности стержня на этом отрезке.

Интеграл плотности, заданной функцией p(x) = x + 1, будет выглядеть следующим образом:
∫[2, 5] (x + 1) dx

Мы расширим выражение и проинтегрируем его с использованием обратной последовательности степеней и правил интегрирования:

= ∫(2, 5) x dx + ∫(2, 5) 1 dx

Первый интеграл ∫(2, 5) x dx можно вычислить, используя формулу ∫x dx = x^2/2 + C, где С - произвольная константа.

= (x^2/2) │(2, 5) + ∫(2, 5) 1 dx

Теперь мы получили два слагаемых. Вычислим первое слагаемое, подставляя значения границ в формулу:

= [(5^2/2) - (2^2/2)] + ∫(2, 5) 1 dx

Упрощаем числовую часть:
= [(25/2) - (4/2)] + ∫(2, 5) 1 dx

= (21/2) + ∫(2, 5) 1 dx

Затем проинтегрируем второе слагаемое ∫(2, 5) 1 dx. Поскольку 1 - это константа, мы можем записать это как произведение константы на разность границ:

= (21/2) + [1x]│(2, 5)

Вычисляем это выражение, подставляя значения границ:

= (21/2) + [(5) - (2)]

= (21/2) + 3

= (21 + 6)/2

= 27/2

Итак, масса стержня на отрезке от 2 до 5 равна 27/2 или 13.5 единиц массы.
4,5(54 оценок)
Ответ:
fan211
fan211
15.12.2020
1) √5b², если b≤0
В данном случае множитель под знаком корня - это b².

Так как b≤0, значит b - отрицательное число. Для отрицательного числа с четной степенью корень можно вынести из под знака корня с противоположным знаком.

Итак, √5b² = |b|√5, так как b² = |b|² = |b| * |b| = |b|. Знаки "умножить на себя" сокращаются. Здесь |b| - модуль числа b, то есть его абсолютное значение.

2) √12a⁴
В данном случае множитель под знаком корня - это a⁴.

С корнями из положительных чисел с нечетной степенью можно работать аналогично. Мы можем вынести корень из под знака корня с тем же знаком.

Итак, √12a⁴ = a²√12. Здесь a⁴ = (a²)² = a² * a² = a².

3) √-a⁵
В данном случае множитель под знаком корня - это -a⁵.

Корень из отрицательного числа не может быть извлечен на множество действительных чисел. Поэтому мы не можем вынести множитель под знаком корня без изменения его значения.

Итак, √-a⁵ не может быть вынесен из под знака корня. Мы оставляем его как есть.

4) √-a³b⁶, если b>0
В данном случае множитель под знаком корня - это -a³b⁶.

По аналогии с пунктом 3, корень из отрицательного числа не может быть извлечен. Однако, в данном случае b>0, то есть b положительное число.

Мы можем разделить множитель на два сомножителя - отрицательное число а³ и положительное число b⁶: √-a³b⁶ = √(-a³) * √b⁶.

Здесь можно вынести корень из под знака корня √(-a³), так как мы знаем, что a³ - отрицательное число. Мы можем извлечь корень из отрицательного числа как корень из его модуля с противоположным знаком.

Итак, √(-a³) = |a|√(a²) = |a|a√a = a²√a.

Теперь остался только множитель под знаком корня √b⁶. Мы знаем, что b⁶ - положительное число, поэтому мы можем извлечь корень из него с тем же знаком.

Итак, √-a³b⁶ = a²√a * √b⁶ = a²√a * b³.

Надеюсь, этот ответ понятен школьнику.
4,6(38 оценок)
Это интересно:
Новые ответы от MOGZ: Математика
logo
Вход Регистрация
Что ты хочешь узнать?
Спроси Mozg
Открыть лучший ответ