М
Молодежь
К
Компьютеры-и-электроника
Д
Дом-и-сад
С
Стиль-и-уход-за-собой
П
Праздники-и-традиции
Т
Транспорт
П
Путешествия
С
Семейная-жизнь
Ф
Философия-и-религия
Б
Без категории
М
Мир-работы
Х
Хобби-и-рукоделие
И
Искусство-и-развлечения
В
Взаимоотношения
З
Здоровье
К
Кулинария-и-гостеприимство
Ф
Финансы-и-бизнес
П
Питомцы-и-животные
О
Образование
О
Образование-и-коммуникации
dodess
dodess
15.04.2022 14:41 •  Математика

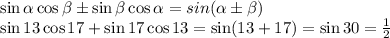
Вычислите : sin 13° cos 17°+sin 17° cos 13°.

👇
Ответ:
ghdvbeudv
ghdvbeudv
15.04.2022
\sin \alpha \cos \beta \pm\sin \beta \cos \alpha =sin( \alpha \pm \beta )
\\\
\sin13\cos17+\sin17\cos13=\sin(13+17)=\sin30= \frac{1}{2}
4,6(88 оценок)
Открыть все ответы
Ответ:
bagzina
bagzina
15.04.2022

Войти

АнонимМатематика01 марта 11:24

Бревно распилили на два бревна,длины которых относятся как 3:7.Какую часть исходного бревна составляет меньшее из полученных

брёвен? Варианты:а)3/7,b)4/7,c)3/10,d)1/10. Составить пропорцию.

ответ или решение1

Медведев Валерий

Рассчитаем, сколько частей составляет длина всего бревна:

3 + 7 = 10 частей - составляет длина всего бревна.

Далее составляем прямую пропорцию, выразив через х часть, которую составляет меньшее из полученных бревен, от исходного бревна:

3 - х,

10 - 1.

Теперь составляем и решаем уравнение:

х = 3 * 1 : 10;

х = 3 : 10;

х = 3/10 - составляет меньшее из полученных бревен, от исходного бревна.

ответ: с) 3/10.

4,7(80 оценок)
Ответ:
invation
invation
15.04.2022

Через 25 лет капиталы станут одинаковыми.

Пошаговое объяснение:

1) На первый капитал начисляется 60000(рублей)·0,05( это 5% годовых )=3000 ( руб.) в год.

2) На второй капитал сумма процентов набегает 54000(рублей)·0,06 (6% в год)=3240(руб.) в год.

3) Разница ( годовая ) процентов на второй капитал и первый составляет 3240-3000=240 (руб.)

4) Разница в начальных суммах капиталов 60000-54000=6000(руб.)

5) 6000÷240=25(лет) уйдет на то, чтобы суммы капиталов стали одинаковыми без учета капитализации.

Проверяем:

Первый капитал за 25 лет увеличится на 3000(рублей)·25=75000(рублей) и будет равен 60000+75000=135000(рублей).

Второй капитал 30 25 лет увеличится на 3240(рублей)·25=81000(рублей) и будет равняться 54000+81000=135000(рублей)

Если есть капитализация, то нужны ее условия. В задании их нет.

4,8(2 оценок)
Новые ответы от MOGZ: Математика
logo
Вход Регистрация
Что ты хочешь узнать?
Спроси Mozg
Открыть лучший ответ