М
Молодежь
К
Компьютеры-и-электроника
Д
Дом-и-сад
С
Стиль-и-уход-за-собой
П
Праздники-и-традиции
Т
Транспорт
П
Путешествия
С
Семейная-жизнь
Ф
Философия-и-религия
Б
Без категории
М
Мир-работы
Х
Хобби-и-рукоделие
И
Искусство-и-развлечения
В
Взаимоотношения
З
Здоровье
К
Кулинария-и-гостеприимство
Ф
Финансы-и-бизнес
П
Питомцы-и-животные
О
Образование
О
Образование-и-коммуникации
pakskina77p0byhm
pakskina77p0byhm
17.10.2020 12:22 •  Математика

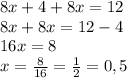
8x+4+8x=12 напишите этому уравнению подробное решение

👇
Ответ:
sasha10072004
sasha10072004
17.10.2020
8x+4+8x=12 \\ 8x+8x=12-4 \\ 16x=8 \\ x= \frac{8}{16} = \frac{1}{2} =0,5
4,8(91 оценок)
Открыть все ответы
Ответ:
luuba2007
luuba2007
17.10.2020

ответ: 1. 22; 2.11; 3.220

Пошаговое объяснение: каждые 2 полукруга это целый круг. Соответственно всего у нас 2 круга и 1 квадрат

Необходимо, чтобы диаметр круга и сторона квадрата совпали

Длина круга l=2pir=2pi*(d/2); забор по квадрату L=4a=4d

2*l+L=x; 4pi*(d/2)+4d=2d(pi+2)=2d*5=10d

Найдем d

Площадь круга pir^2=3r^2, площадь квадрата a^2=d^2=(2r)^2=4r^2

Общая площадь клумбы: 2*3*r^2+4r^2=10r^2

10r^2=1210 (по условию)

R^2=121

R=11 (т.к. отрицательным быть не может)

D=2r=22

Длина забора x=10d=220

Вообще говоря, за такую задачу надо брать не а минимум 18, потому что она затратная по времени

4,6(16 оценок)
Ответ:
саша3347
саша3347
17.10.2020

По условию задачи, когда в комнату вошёл один человек средний возраст четырёх присутствующих стал равен 14 годам. Значит суммарный возраст всех четырёх человек равен:

14 * 4 = 56 лет.

Так как в комнату вошёл один человек, то до этого в комнате было 3 человека. Их средний возраст был 11 лет, а значит в сумме им было:

3 * 11 = 33 года.

Таким образом, с приходом четвертого человека возраст всех присутствующих увеличился на:

56 - 33 = 23 года.

Это и есть возраст четвёртого человека.

ответ: 23 года.

Пошаговое объяснение:

4,7(57 оценок)
Это интересно:
Новые ответы от MOGZ: Математика
logo
Вход Регистрация
Что ты хочешь узнать?
Спроси Mozg
Открыть лучший ответ