М
Молодежь
К
Компьютеры-и-электроника
Д
Дом-и-сад
С
Стиль-и-уход-за-собой
П
Праздники-и-традиции
Т
Транспорт
П
Путешествия
С
Семейная-жизнь
Ф
Философия-и-религия
Б
Без категории
М
Мир-работы
Х
Хобби-и-рукоделие
И
Искусство-и-развлечения
В
Взаимоотношения
З
Здоровье
К
Кулинария-и-гостеприимство
Ф
Финансы-и-бизнес
П
Питомцы-и-животные
О
Образование
О
Образование-и-коммуникации
dianacat1017
dianacat1017
19.05.2023 21:35 •  Математика

Решите уравнение: (21+75: (2x+13))*5=120 распишите по действиям, .

👇
Ответ:
nrdnct
nrdnct
19.05.2023
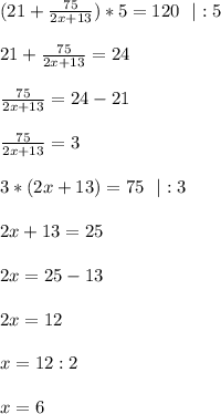
(21+ \frac{75}{2x+13})*5=120\ \ |:5\\\\
21+ \frac{75}{2x+13}=24\\\\
 \frac{75}{2x+13}=24-21\\\\
 \frac{75}{2x+13}=3\\\\
3*(2x+13)=75\ \ |:3\\\\
2x+13=25\\\\
2x=25-13\\\\
2x=12\\\\
x=12:2\\\\
x=6
4,4(55 оценок)
Открыть все ответы
Ответ:
hitrovskiy01
hitrovskiy01
19.05.2023
Биографические сведения о Рублёве крайне скудны: скорее всего, родился он в Московском княжестве (по другим сведениям — в Великом Новгороде), вероятно, в конце 1370-х гг.[3], из-за прозвища «Рублёв» (от слова «рубель» — инструмент для накатки кож) предполагают, что он мог происходить из ремесленной семьи[4]. Принял монашеский постриг в Троице-Сергиевом монастыре при Никоне Радонежском с именем Андрей; мирское имя неизвестно (скорее всего, по тогдашней традиции, оно тоже начиналось на «А»). Сохранилась икона, подписанная «Андрей Иванов сын Рублёв»; она поздняя и подпись явно поддельная, но, возможно, является косвенным свидетельством того, что отца художника действительно звали Иваном.

Творчество Рублёва сложилось на почве художественных традиций Московского княжества; он был хорошо знаком также со славянским художественным опытом. Первое упоминание об Андрее в летописи появилось только в 1405 году, свидетельствующее о том, что Феофаном Греком, Прохором-старцем и чернецом Андреем Рублёвым был расписан Благовещенский собор в Московском кремле. Видимо, к 1405 году Андрей основательно преуспел в своём мастерстве иконописи, если монаху поручили такую ответственную работу и к тому же с Феофаном Греком. Второй раз в летописи Андрей упоминается в 1408 году, когда он делал росписи с Даниилом Чёрным в Успенском соборе во Владимире всего 3 года, а у Андрея уже появились и ученики, к тому времени у Андрея уже полностью сформировался свой индивидуальный, настоящий русский стиль. В 1420-х годах Андрей с Даниилом Чёрным руководил работами в Троицком соборе Троице-Сергиева монастыря. Эти росписи не сохранились. В 1411 или 1425—27 годах он создал свой шедевр — «Троицу».

Рублёв скончался во время морового поветрия 17 октября 1428 года в Москве, в Андрониковом монастыре, где весной 1428 года выполнил свою последнюю работу по росписи собора. Похоронен возле колокольни в Андрониковом монастыре собор).
4,6(76 оценок)
Ответ:
Яна12133
Яна12133
19.05.2023

Найдите расстояние между пристанями.

36*4=144км первый теплоход за 3 часа

144:3=48км второй теплоход за 3 часа

144+48=192км расстояние между пристанями

 

Найдите скорость второго теплохода

36*4=144км первый теплоход за 3 часа

144:3=48км второй теплоход за 3 часа

48:4=12км/ч скорость второго теплохода

 

На сколько скорость первого теплохода больше скорости второго?

36*4=144км первый теплоход за 3 часа

144:3=48км второй теплоход за 3 часа

48:4=12км/ч скорость второго теплохода

36-12=на 24км/ч скорость первого теплохода больше скорости второго

4,8(100 оценок)
Это интересно:
Новые ответы от MOGZ: Математика
logo
Вход Регистрация
Что ты хочешь узнать?
Спроси Mozg
Открыть лучший ответ