М
Молодежь
К
Компьютеры-и-электроника
Д
Дом-и-сад
С
Стиль-и-уход-за-собой
П
Праздники-и-традиции
Т
Транспорт
П
Путешествия
С
Семейная-жизнь
Ф
Философия-и-религия
Б
Без категории
М
Мир-работы
Х
Хобби-и-рукоделие
И
Искусство-и-развлечения
В
Взаимоотношения
З
Здоровье
К
Кулинария-и-гостеприимство
Ф
Финансы-и-бизнес
П
Питомцы-и-животные
О
Образование
О
Образование-и-коммуникации
Yanalime2006
Yanalime2006
30.11.2022 12:38 •  Математика

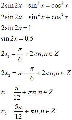
Решите уравнение 2sin2x-sin^2x=cos^2x

👇
Ответ:
Ronni05
Ronni05
30.11.2022

####################


Решите уравнение 2sin2x-sin^2x=cos^2x
4,6(85 оценок)
Открыть все ответы
Ответ:
vintageflower
vintageflower
30.11.2022

В решении.

Пошаговое объяснение:

Решить систему уравнений:

1)3х-2у=4

 7х-9у=5

Умножить первое уравнение на 7, второе на -3, чтобы решить систему методом сложения:

21х-14у=28

-21х+27у= -15

Складываем уравнения:

21х-21х-14у+27у=28-15

13у=13

у=1

Теперь подставить значение у в любое из двух уравнений системы и вычислить х:

3х-2у=4

3х=4+2*1

3х=6

х=2

Решение системы уравнений (2; 1).

2)2х+5у=6

 -4х-10у=8

Умножить первое уравнение на 2, чтобы решить систему методом сложения:

4х+10у=12

-4х-10у=8

Складываем уравнения:

4х-4х+10у-10у=12+8

0=20, система не имеет решений.

4,8(69 оценок)
Ответ:
sashabibik777
sashabibik777
30.11.2022

Чтобы найти число по его дроби необходимо данное число умножить на знаменатель и разделить на числитель известной дроби.

Чтобы найти дробь от числа необходимо данное число умножить на числитель искомой дроби и разделить на ее знаменатель.

1) Найдем сколько кг весит старшая сестра:

32 * 7 : 4 = 56 (кг) - весит сестра.

2) Определим вес папы:

32 * 5 : 2 = 80 (кг) - весит отец.

3) Найдем сколько кг весит мама:

80 * 7 : 8 = 70 (кг) - вес мамы.

4) Узнаем общий вес всех членов семьи и прибавим еще 17 кг (вес пуделя):

32 + 56 + 70 + 80 + 17 = 255 (кг) - общий вес.

Грузоподъемность лифта 300 кг.

Общий вес всей семьи и собаки 255 кг.

255 кг < 300 кг.

Значит, они смогут подняться на лифте.

ответ: семья Андрея вместе с пуделем смогут подняться на лифте.

4,7(22 оценок)
Это интересно:
Новые ответы от MOGZ: Математика
logo
Вход Регистрация
Что ты хочешь узнать?
Спроси Mozg
Открыть лучший ответ