М
Молодежь
К
Компьютеры-и-электроника
Д
Дом-и-сад
С
Стиль-и-уход-за-собой
П
Праздники-и-традиции
Т
Транспорт
П
Путешествия
С
Семейная-жизнь
Ф
Философия-и-религия
Б
Без категории
М
Мир-работы
Х
Хобби-и-рукоделие
И
Искусство-и-развлечения
В
Взаимоотношения
З
Здоровье
К
Кулинария-и-гостеприимство
Ф
Финансы-и-бизнес
П
Питомцы-и-животные
О
Образование
О
Образование-и-коммуникации
yaroslavgolova
yaroslavgolova
04.08.2021 09:58 •  Математика

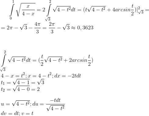
Вычислить \int\limits^1_0 {\sqrt{\frac{x}{4-x} } } \, dx с подробным решением

👇
Ответ:
нурбол5
нурбол5
04.08.2021

Решение в приложении:


Вычислить <img src= с подробным решением" />
4,6(34 оценок)
Открыть все ответы
Ответ:
elvinaaminova2004
elvinaaminova2004
04.08.2021
Неотложные работы включают в себя: •прокладывание колонных путей и устройств проходов в завалах и зонах заражения (загрязнения);   •локализацию аварий на газовых, энергетических, водопроводных, канализационных, тепловых и технологических сетях в целях создания безопасных условий для проведения спасательных работ;   •укрепление или обрушение конструкций зданий и сооружений, угрожающих обвалом или препятствующих безопасному проведению спасательных работ; •ремонт и восстановление поврежденных и разрушенных линий связи и коммунально-энергетических сетей в целях обеспечения спасательных работ;   •обнаружение, обезвреживание и уничтожение невзорвавшихся боеприпасов в обычном снаряжении и других взрывоопасных предметов;   •ремонт и восстановление поврежденных защитных сооружений для укрытия от возможных повторных поражающих воздействий;   •санитарную очистку территории в зоне чрезвычайной ситуации;   •первоочередное жизнеобеспечение пострадавшего населения.
4,6(86 оценок)
Ответ:
vicroriaalakoz3
vicroriaalakoz3
04.08.2021

В воскресенье мы всем классом отправились в музей.
Весна только что наступила,было тепло.Настроение у меня было хорошее,потому что родители мне дали много денег.По дороге я то в одном,то в другом киоске покупал себе угощение.Учительница спросила у меня:''А денег тебе на музей хватит?''Вместо ответа я похлопала себя по карману.
Когда мы подошли к кассам музея,оказалось,что у меня не хватило денег на билет.А папа,вручая мне деньги,посоветовал сильно не тратиться чтоб хватило денег на то и другое  .
Я растерянно смотрела на ребят,которые уже купили билеты.''А ведь я предупреждала,-сказала учительница,-чтобы ты не тратил деньги.Что теперь делать?''
Одна девочка сказала,что у неё деньги остались только на мороженое и обратный проезд.Я чувствовала,что другие одноклассники не спешили выручать меня.Они видели,как я безалаберно распорядилась своими деньгами.Тогда Лена ,моя лучшая подруга сказала:''Вот тебе деньги на билет.Я обойдусь без мороженого.''А мне нельзя мороженое.У меня горло болит.''-сказала Настя.И вдруг со всех сторон потянулись ко мне деньги
''Не зря говорит пословица:''Не имей сто рублей,а имей сто друзей'',-сказала учительница.-Конечно,нас в классе не сто,но есть желание ребятам

4,5(77 оценок)
Это интересно:
Новые ответы от MOGZ: Математика
logo
Вход Регистрация
Что ты хочешь узнать?
Спроси Mozg
Открыть лучший ответ